Официальное опубликование правовых актов
ОФИЦИАЛЬНОЕ ОПУБЛИКОВАНИЕ
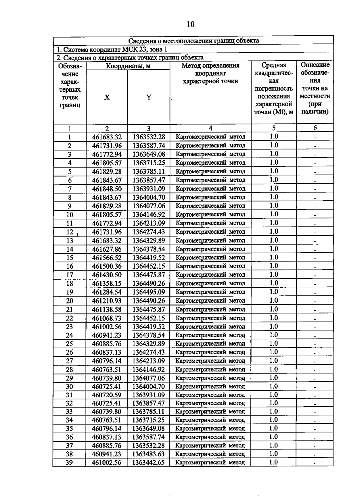
Приказ министерства природных ресурсов Краснодарского края от 10.02.2026 № 148
"Об установлении зон санитарной охраны источника питьевого и хозяйственно-бытового водоснабжения акционерного общества "Черноморские магистральные нефтепроводы" в муниципальном образовании Северский район"
Номер опубликования: 2301202602120006
Дата опубликования: 12.02.2026
Страница №12 из 15:
Увеличить