Официальное опубликование правовых актов
ОФИЦИАЛЬНОЕ ОПУБЛИКОВАНИЕ
Приказ администрации Краснодарского края от 05.02.2026 № 74-КН
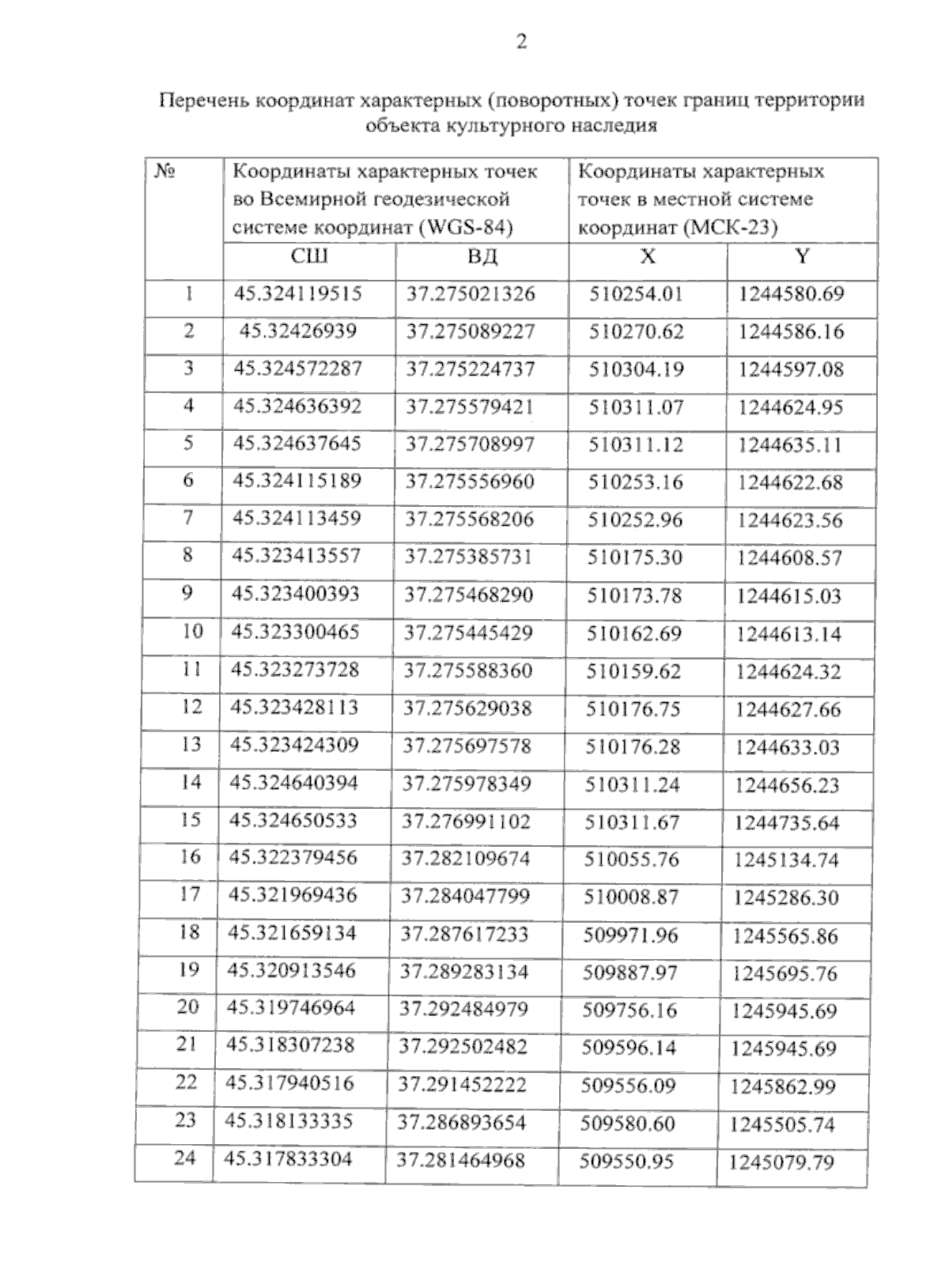
"О внесении изменений в приказ администрации Краснодарского края от 25.12.2025 № 1778-кн "О внесении изменений в приказ администрации Краснодарского края от 27.03.2024 № 284-кн "Об утверждении границ и режима использования территории объекта культурного наследия федерального значения "Голубицкое городище", V в. до н.э. – IV в. н.э., Краснодарский край, Темрюкский район, ст–ца Голубицкая, восточная часть"
Номер опубликования: 2301202602110012
Дата опубликования: 11.02.2026
Страница №4 из 5:
Увеличить