Официальное опубликование правовых актов
ОФИЦИАЛЬНОЕ ОПУБЛИКОВАНИЕ
Приказ администрации Краснодарского края от 05.02.2026 № 84-КН
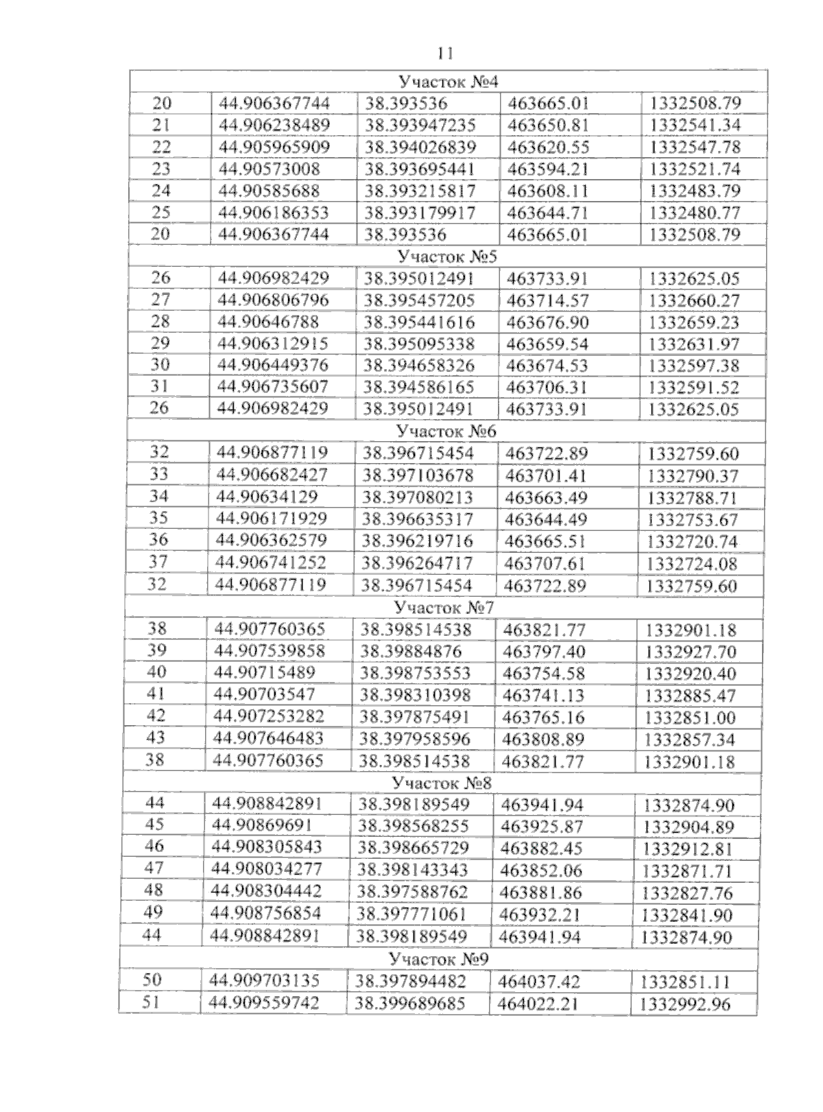
"Об утверждении границ и режима использования территории объекта культурного наследия федерального значения "Курганная группа "Холмский 25" (31 насыпь)", III тыс. до н.э. – XVI в. н.э., Краснодарский край, Абинский район, ст–ца Холмская, 8,3 км к северо–северо–востоку от северо–восточной окраины станицы, 0,8 км к северу от курганной группы "Холмский 10"
Номер опубликования: 2301202602110008
Дата опубликования: 11.02.2026
Страница №13 из 17:
Увеличить