Приказ администрации Краснодарского края от 25.12.2025 № 1779-КН
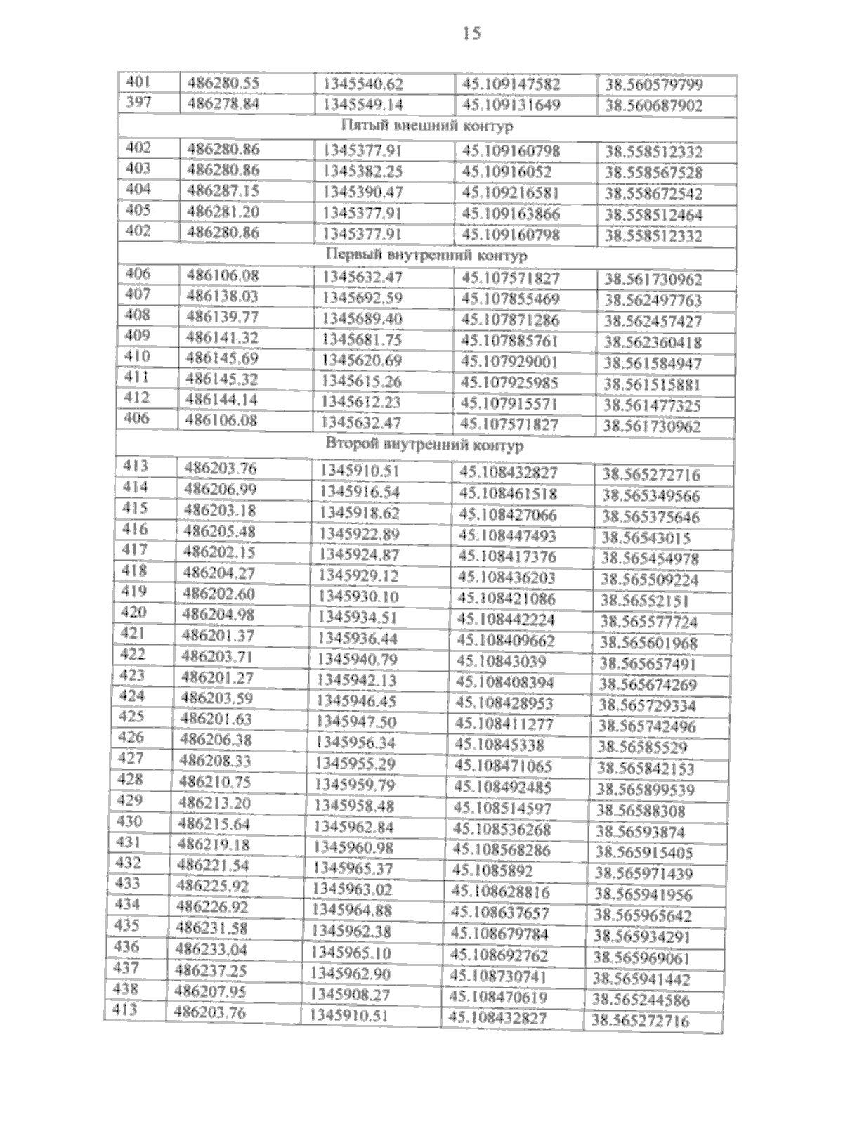
"О внесении изменений в приказ управления государственной охраны объектов культурного наследия Краснодарского края от 25.02.2016 № 31 "О включении выявленных объектов археологического наследия в перечень выявленных объектов культурного наследия Краснодарского края и утверждении границ их территорий" и утверждении границ и режима использования территории выявленного объекта культурного наследия "Поселение и грунтовый могильник "Марьянское 1", Краснодарский край, Красноармейский район, ст-ца Марьянская, 3,5 км к западу от станицы; 3,62 км по направлению 277,80° (истинный север, отсчет угла правый) к центру поселения от пересечения ул. Северная и ул. Дарвина; 3,11 км по направлению 290,06° (истинный север, отсчет угла правый) к центру поселения от северного угла административно-хозяйственного здания"
"О внесении изменений в приказ управления государственной охраны объектов культурного наследия Краснодарского края от 25.02.2016 № 31 "О включении выявленных объектов археологического наследия в перечень выявленных объектов культурного наследия Краснодарского края и утверждении границ их территорий" и утверждении границ и режима использования территории выявленного объекта культурного наследия "Поселение и грунтовый могильник "Марьянское 1", Краснодарский край, Красноармейский район, ст-ца Марьянская, 3,5 км к западу от станицы; 3,62 км по направлению 277,80° (истинный север, отсчет угла правый) к центру поселения от пересечения ул. Северная и ул. Дарвина; 3,11 км по направлению 290,06° (истинный север, отсчет угла правый) к центру поселения от северного угла административно-хозяйственного здания"
Номер опубликования: 2301202512260001
Дата опубликования:
26.12.2025
