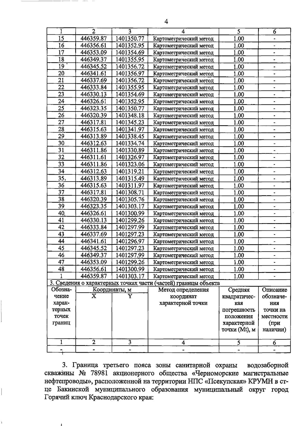
Приказ министерства природных ресурсов Краснодарского края от 11.11.2025 № 1729
"Об установлении зон санитарной охраны источника питьевого и хозяйственно-бытового водоснабжения акционерного общества "Черноморские магистральные нефтепроводы" в муниципальном образовании муниципальный округ город Горячий Ключ"
"Об установлении зон санитарной охраны источника питьевого и хозяйственно-бытового водоснабжения акционерного общества "Черноморские магистральные нефтепроводы" в муниципальном образовании муниципальный округ город Горячий Ключ"
Номер опубликования: 2301202511180003
Дата опубликования:
18.11.2025
