Официальное опубликование правовых актов
ОФИЦИАЛЬНОЕ ОПУБЛИКОВАНИЕ
Приказ администрации Краснодарского края от 23.10.2025 № 1370-КН
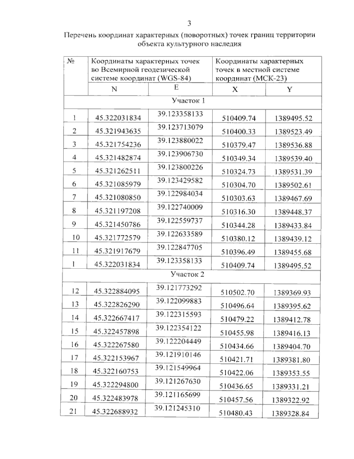
"Об утверждении границ и режима использования территории объекта культурного наследия федерального значения "Курганная группа "Старомышастовская 1" (3 насыпи)", эпоха бронзы – позднее средневековье, Краснодарский край, Динской район, ст–ца Старомышастовская, 1,33 км к югу от юго–восточного угла станицы"
Номер опубликования: 2301202510270006
Дата опубликования: 27.10.2025
Страница №5 из 7:
Увеличить