Официальное опубликование правовых актов
ОФИЦИАЛЬНОЕ ОПУБЛИКОВАНИЕ
Приказ администрации Краснодарского края от 10.10.2025 № 1213-КН
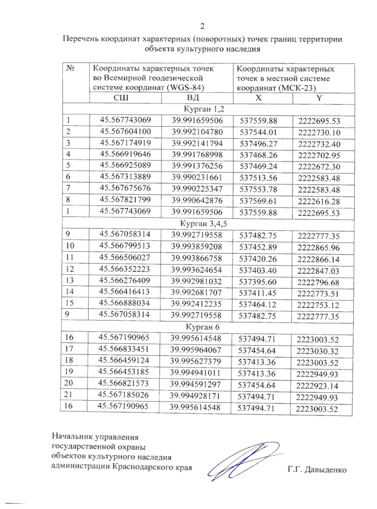
"Об утверждении границ и режима использования территории объекта культурного наследия федерального значения "Курганная группа", Краснодарский край, Выселковский район, ст–ца Новогражданская, западная окраина станицы, колхоз "Рассвет", 1–е отделение"
Номер опубликования: 2301202510150002
Дата опубликования: 15.10.2025
Страница №4 из 5:
Увеличить