Приказ администрации Краснодарского края от 08.10.2025 № 1194-КН
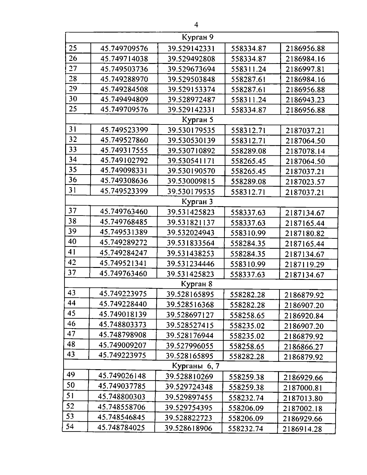
"Об утверждении границ и режима использования территории объекта культурного наследия федерального значения "Курганная группа", Краснодарский край, Выселковский район, ст–ца Березанская, 2 – 3 км к северо–западу от станицы, колхоз "Кубань"
"Об утверждении границ и режима использования территории объекта культурного наследия федерального значения "Курганная группа", Краснодарский край, Выселковский район, ст–ца Березанская, 2 – 3 км к северо–западу от станицы, колхоз "Кубань"
Номер опубликования: 2301202510140012
Дата опубликования:
14.10.2025
