Приказ администрации Краснодарского края от 09.10.2025 № 1200-КН
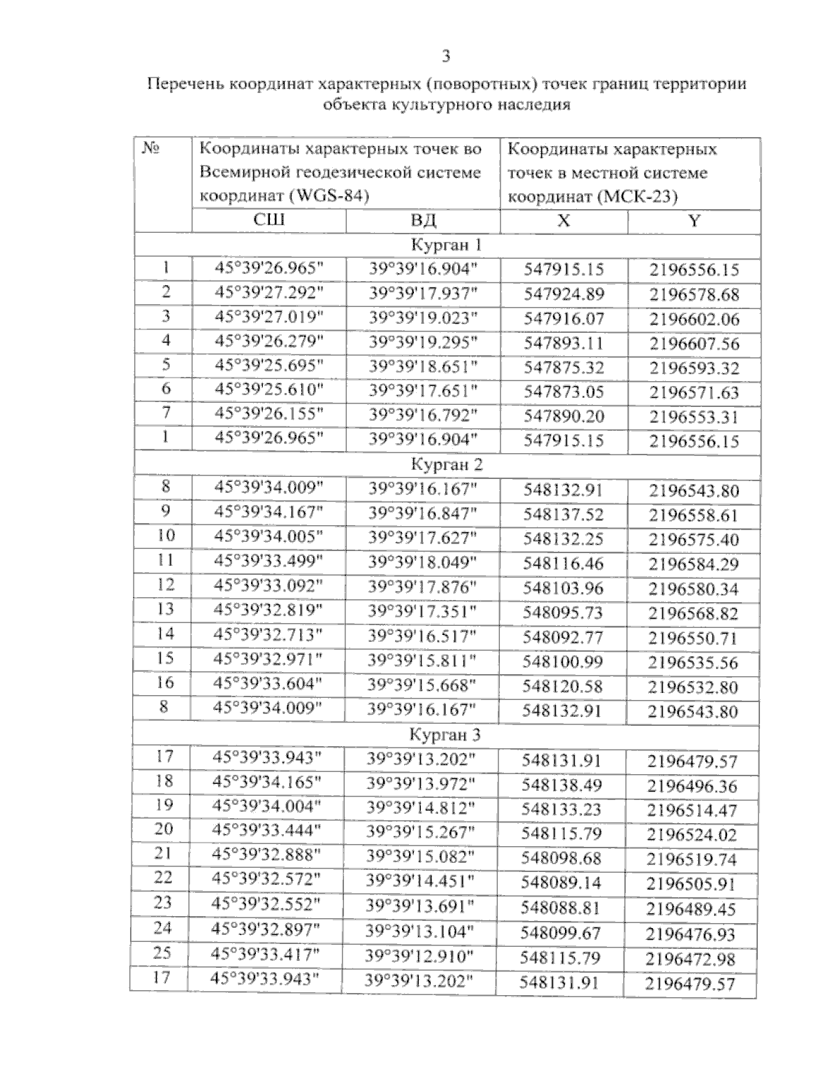
"Об утверждении границ и режима использования территории объекта культурного наследия федерального значения "Курганная группа", Краснодарский край, Выселковский район, с. Заря, южная окраина села, колхоз "Кубань", 5–е отделение"
"Об утверждении границ и режима использования территории объекта культурного наследия федерального значения "Курганная группа", Краснодарский край, Выселковский район, с. Заря, южная окраина села, колхоз "Кубань", 5–е отделение"
Номер опубликования: 2301202510140009
Дата опубликования:
14.10.2025
