Официальное опубликование правовых актов
ОФИЦИАЛЬНОЕ ОПУБЛИКОВАНИЕ
Приказ администрации Краснодарского края от 29.09.2025 № 1111-КН
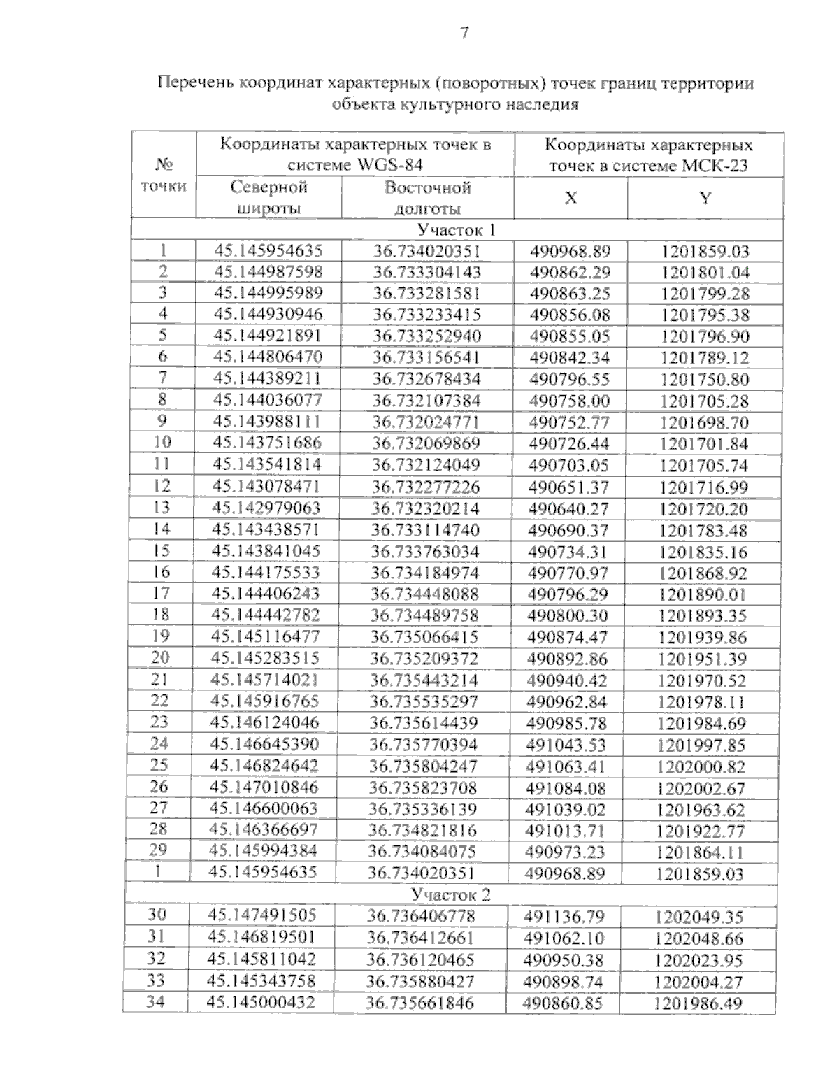
"О внесении изменений в приказ администрации Краснодарского края от 17.04.2024 № 348-кн "Об утверждении границ и режима использования территории выявленного объекта культурного наследия "Поселение "Таманский 4,7", Краснодарский край, Темрюкский район, п. Таманский, 3,75 км к западу от западной окраины поселка"
Номер опубликования: 2301202510060005
Дата опубликования: 06.10.2025
Страница №9 из 14:
Увеличить