Официальное опубликование правовых актов
ОФИЦИАЛЬНОЕ ОПУБЛИКОВАНИЕ
Приказ администрации Краснодарского края от 12.09.2025 № 1090-КН
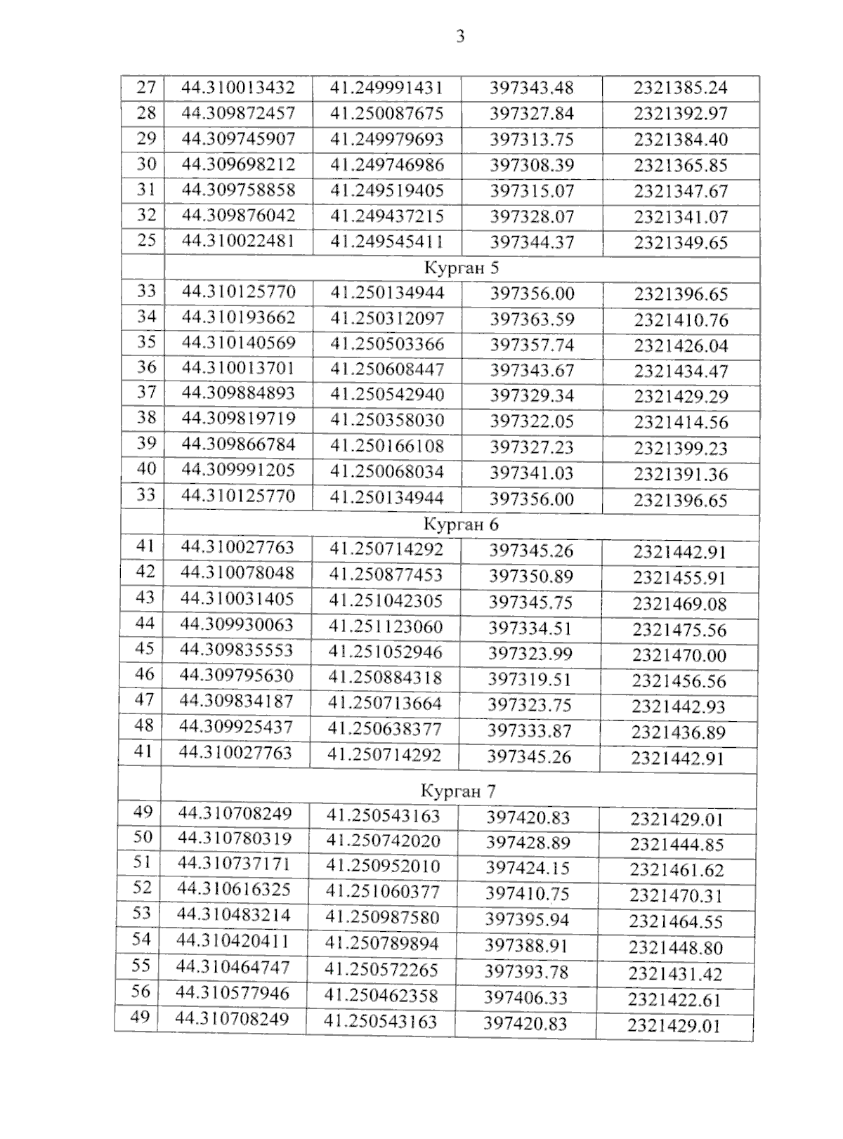
"О включении объекта "Курганный могильник "Веселый 1", Краснодарский край, Отрадненский район, х. Веселый, 3,2 км к северо-северо-востоку от северной окраины хутора, в перечень выявленных объектов культурного наследия Краснодарского края, утверждении его границ и режима использования территории"
Номер опубликования: 2301202509170006
Дата опубликования: 17.09.2025
Страница №5 из 7:
Увеличить