Официальное опубликование правовых актов
ОФИЦИАЛЬНОЕ ОПУБЛИКОВАНИЕ
Приказ администрации Краснодарского края от 28.07.2025 № 732-КН
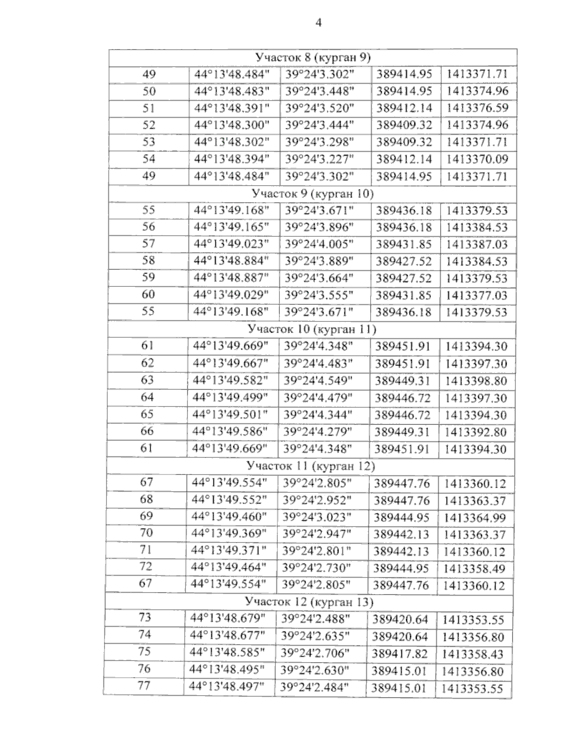
"О включении объекта "Курганный могильник "Папоротный 1", Краснодарский край, Туапсинский район, в 0,8 км к юго-востоку от хут. Папоротный и в 2,6 км к северо-западу от с. Терзиян, в перечень выявленных объектов культурного наследия Краснодарского края, утверждении его границ и режима использования территории"
Номер опубликования: 2301202508040009
Дата опубликования: 04.08.2025
Страница №6 из 8:
Увеличить