Официальное опубликование правовых актов
ОФИЦИАЛЬНОЕ ОПУБЛИКОВАНИЕ
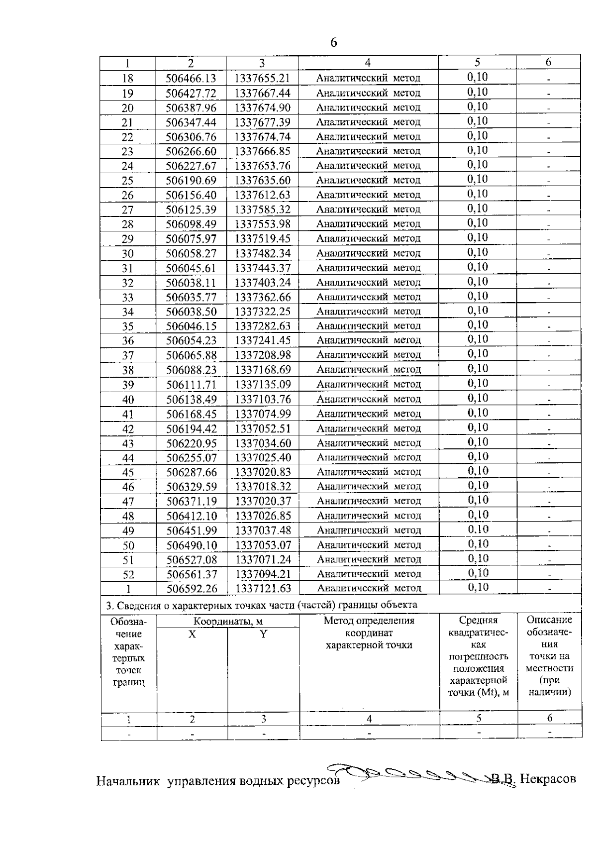
Приказ министерства природных ресурсов Краснодарского края от 04.06.2025 № 891
"Об установлении зон санитарной охраны источника питьевого и хозяйственно-бытового водоснабжения общества с ограниченной ответственностью "СХП им. П.П. Лукьяненко" в муниципальном образовании Красноармейский район"
Номер опубликования: 2301202506100010
Дата опубликования: 10.06.2025
Страница №8 из 10:
Увеличить