Официальное опубликование правовых актов
ОФИЦИАЛЬНОЕ ОПУБЛИКОВАНИЕ
Приказ министерства природных ресурсов Краснодарского края от 10.04.2025 № 574
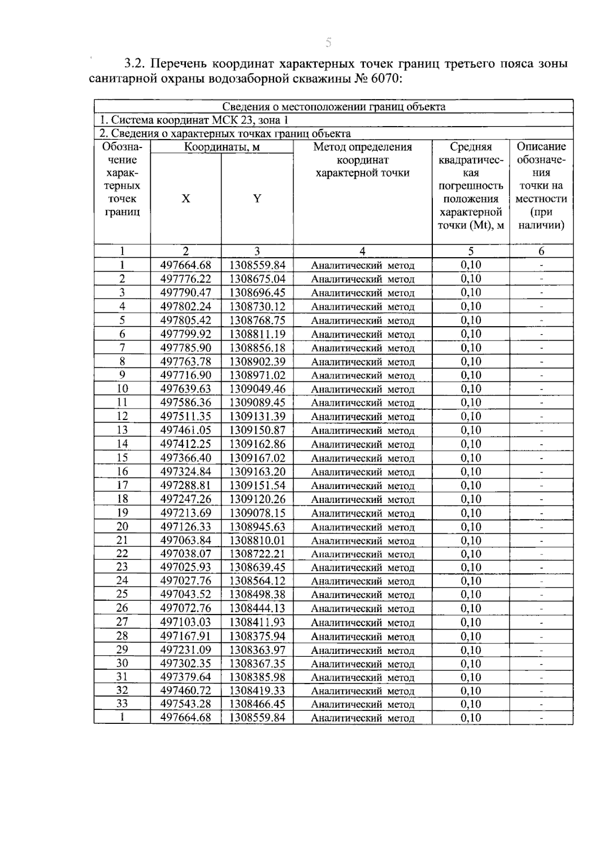
"Об изменении зон санитарной охраны источника питьевого и хозяйственно-бытового водоснабжения общества с ограниченной ответственностью Агрофирма "Приволье" в муниципальном образовании Славянский район"
Номер опубликования: 2301202504170009
Дата опубликования: 17.04.2025
Страница №7 из 10:
Увеличить