Официальное опубликование правовых актов
ОФИЦИАЛЬНОЕ ОПУБЛИКОВАНИЕ
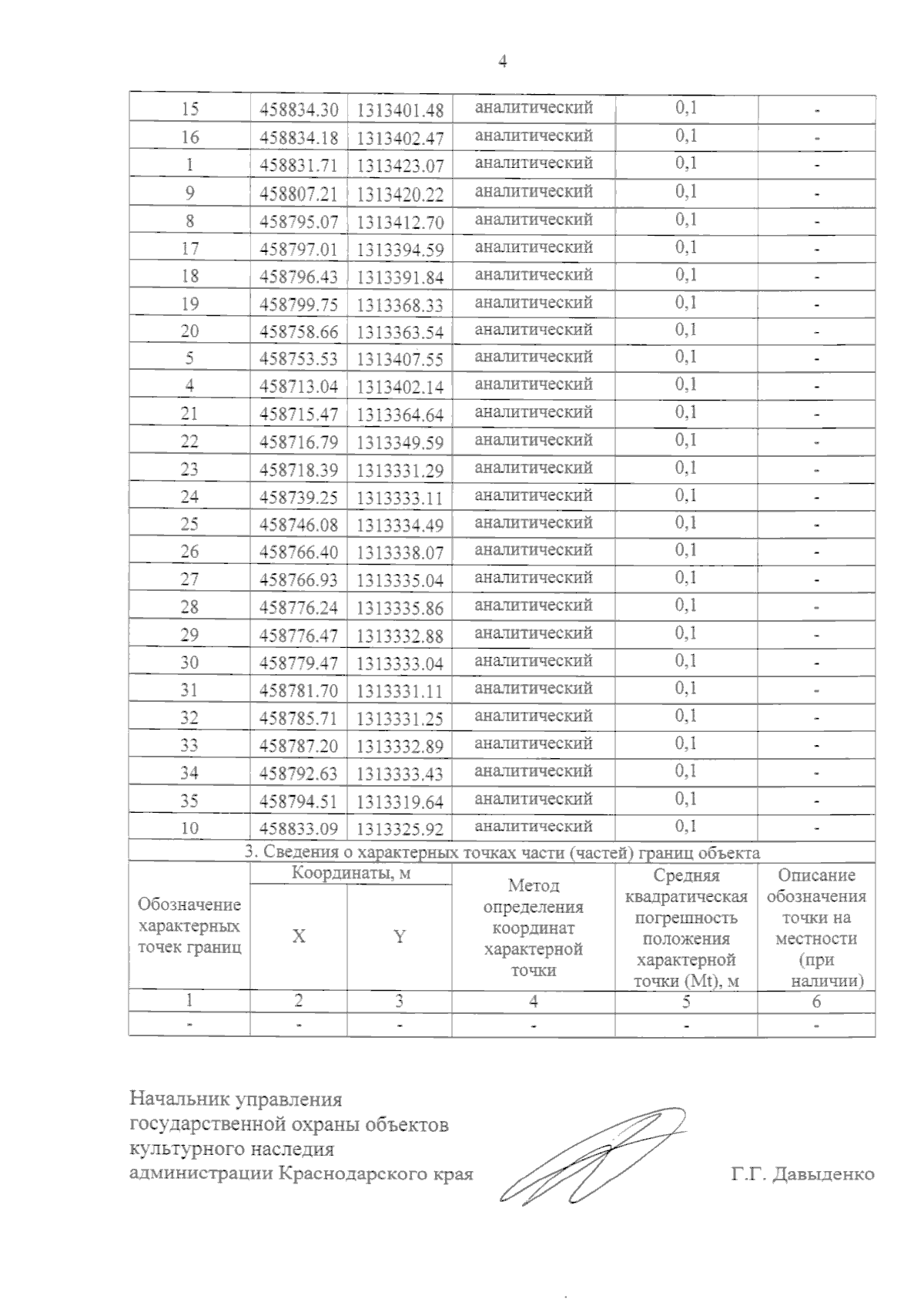
Приказ администрации Краснодарского края от 28.02.2025 № 293-КН
"Об установлении зон охраны, утверждении режимов использования земель и требований к градостроительным регламентам в границах территорий данных зон объекта культурного наследия регионального значения "Греческая школа", 1900–е гг. Краснодарский край, Абинский район, г. Абинск, ул. Интернациональная, д. 27"
Номер опубликования: 2301202503070030
Дата опубликования: 07.03.2025
Страница №6 из 10:
Увеличить