Официальное опубликование правовых актов
ОФИЦИАЛЬНОЕ ОПУБЛИКОВАНИЕ
Приказ департамента информатизации и связи Краснодарского края от 13.02.2025 № 27
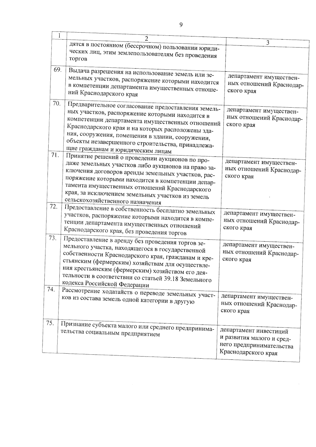
"О внесении изменения в приказ департамента информатизации и связи Краснодарского края от 4 июля 2018 г. № 114 "Об утверждении перечня услуг и мер поддержки субъектов малого и среднего предпринимательства, предоставление которых организовано в центрах оказания услуг для бизнеса, расположенных на территории Краснодарского края"
Номер опубликования: 2301202502190012
Дата опубликования: 19.02.2025
Страница №11 из 19:
Увеличить