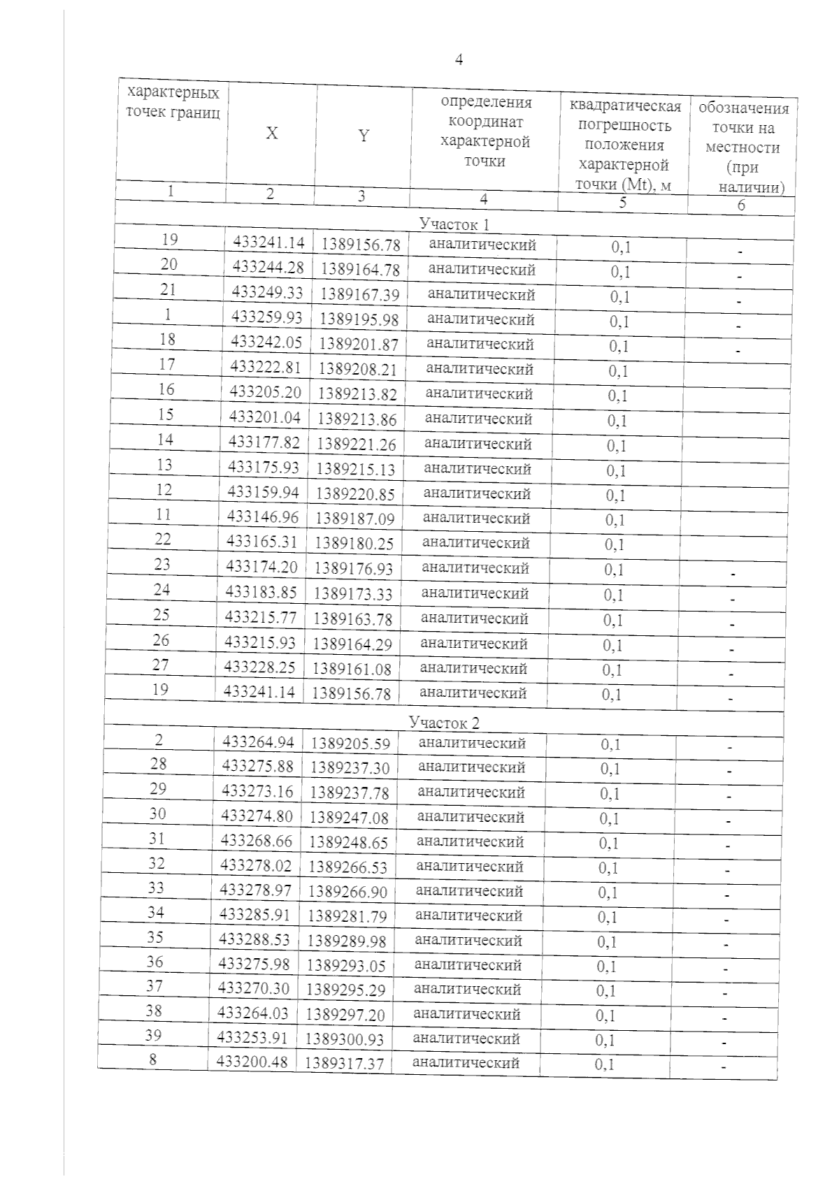
Приказ администрации Краснодарского края от 23.01.2025 № 33-КН
"Об установлении зон охраны, утверждении режимов использования земель и требований к градостроительным регламентам в границах территорий данных зон объекта культурного наследия регионального значения "Дом войскового врача Косинова", 1878 г., Краснодарский край, город Горячий Ключ, ул. Ленина, д. 35, лит. А, А1"
"Об установлении зон охраны, утверждении режимов использования земель и требований к градостроительным регламентам в границах территорий данных зон объекта культурного наследия регионального значения "Дом войскового врача Косинова", 1878 г., Краснодарский край, город Горячий Ключ, ул. Ленина, д. 35, лит. А, А1"
Номер опубликования: 2301202501300006
Дата опубликования:
30.01.2025
