Приказ администрации Краснодарского края от 28.11.2024 № 1507-КН
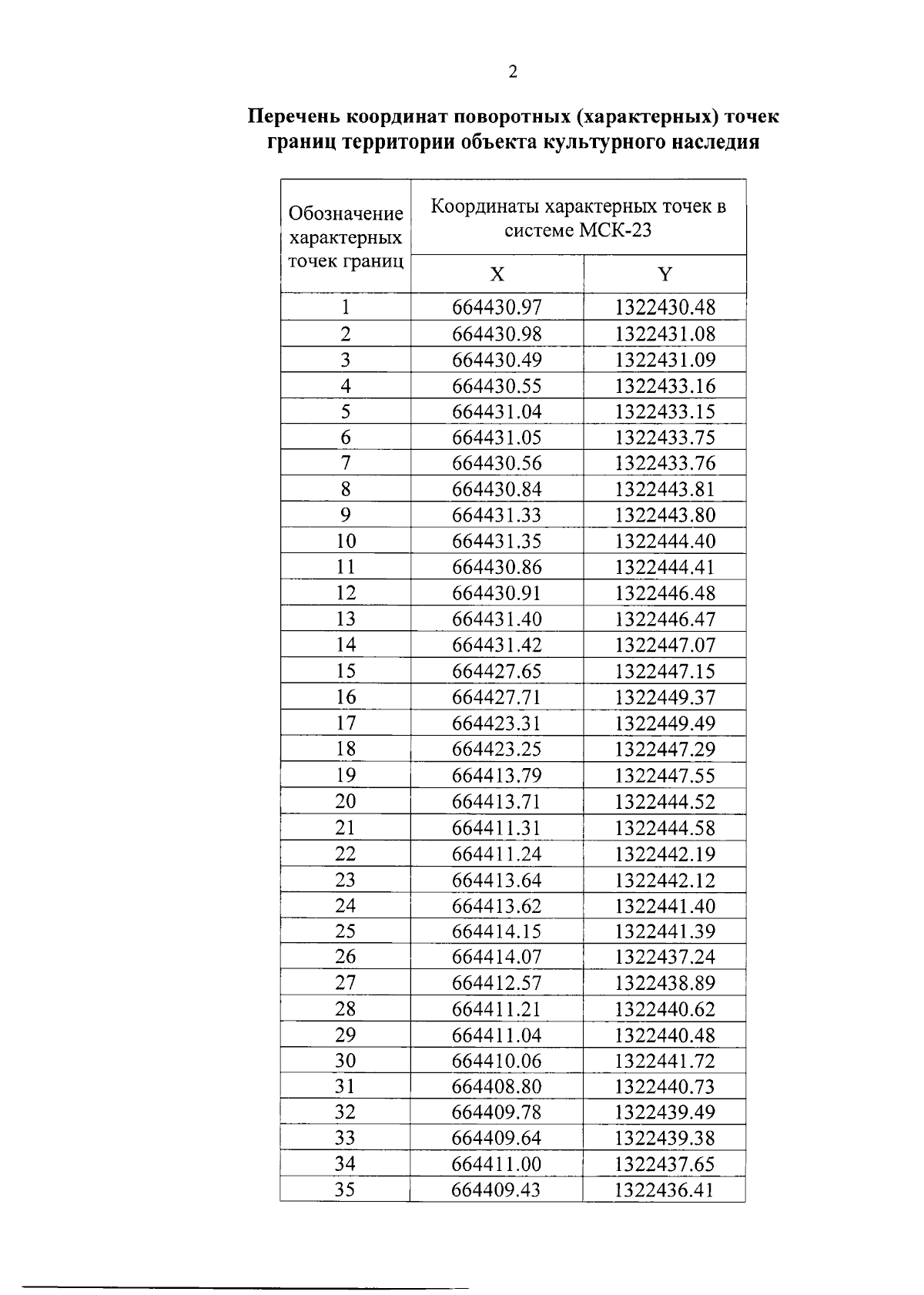
"О включении выявленного объекта культурного наследия "Дом жилой купца К.Н. Атарова", 1892 г., Краснодарский край, Ейский район, г. Ейск, ул. К. Маркса, д. 33, в единый государственный реестр объектов культурного наследия (памятников истории и культуры) народов Российской Федерации в качестве объекта культурного наследия регионального значения, утверждении его границ и режима использования территории и исключении из перечня выявленных объектов культурного наследия Краснодарского края"
"О включении выявленного объекта культурного наследия "Дом жилой купца К.Н. Атарова", 1892 г., Краснодарский край, Ейский район, г. Ейск, ул. К. Маркса, д. 33, в единый государственный реестр объектов культурного наследия (памятников истории и культуры) народов Российской Федерации в качестве объекта культурного наследия регионального значения, утверждении его границ и режима использования территории и исключении из перечня выявленных объектов культурного наследия Краснодарского края"
Номер опубликования: 2301202412050008
Дата опубликования:
05.12.2024
