Приказ администрации Краснодарского края от 26.11.2024 № 1494-КН
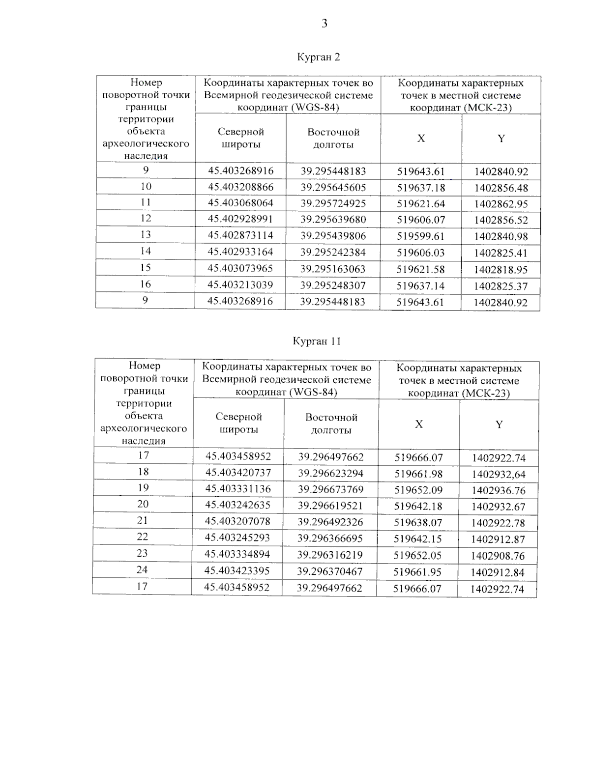
"О включении объекта "Курганная группа (19 насыпей)", Краснодарский край, Кореновский район, х. Левченко, молочно-товарная ферма .№ 2, к северу от излучины правого берега р. Кирпили, в перечень выявленных объектов культурного наследия Краснодарского края, утверждении его границ и режима использования территории"
"О включении объекта "Курганная группа (19 насыпей)", Краснодарский край, Кореновский район, х. Левченко, молочно-товарная ферма .№ 2, к северу от излучины правого берега р. Кирпили, в перечень выявленных объектов культурного наследия Краснодарского края, утверждении его границ и режима использования территории"
Номер опубликования: 2301202412030001
Дата опубликования:
03.12.2024
