Официальное опубликование правовых актов
ОФИЦИАЛЬНОЕ ОПУБЛИКОВАНИЕ
Приказ администрации Краснодарского края от 05.11.2024 № 1388-КН
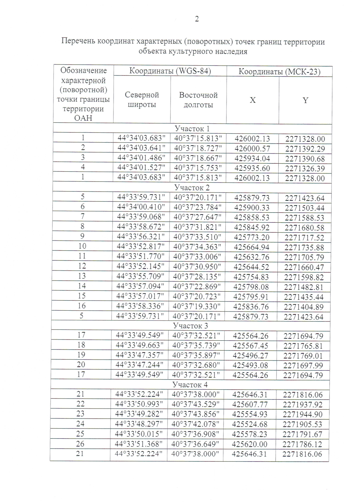
"О включении объекта "Курганная группа "Большечехракская 2", Краснодарский край, Мостовский район, п. Восточный, 3,55 км к югу-юго-востоку от здания школы № 13, в перечень выявленных объектов культурного наследия Краснодарского края, утверждении его границ и режима использования территории"
Номер опубликования: 2301202411110003
Дата опубликования: 11.11.2024
Страница №4 из 6:
Увеличить