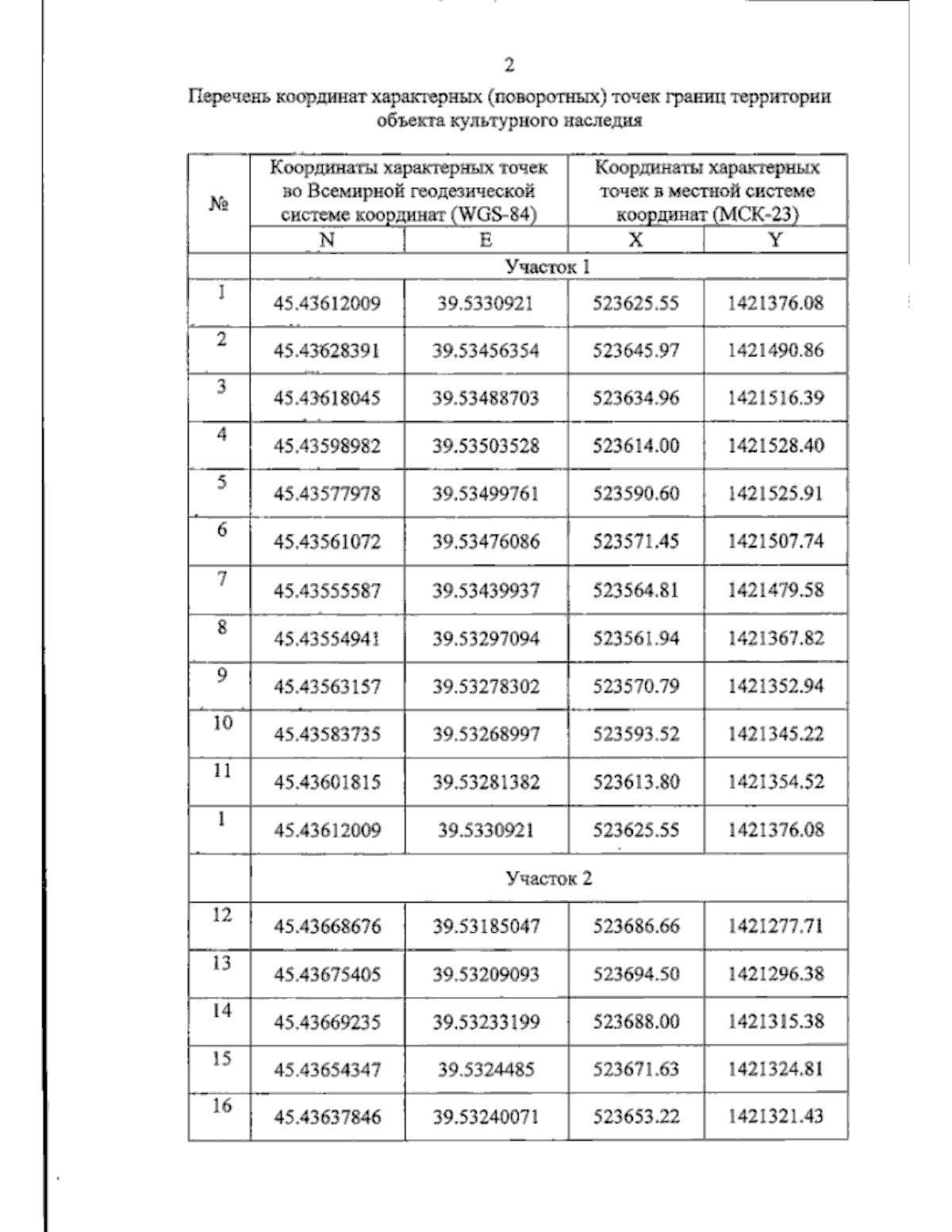
Приказ администрации Краснодарского края от 08.08.2024 № 828-КН
"Об утверждении границ и режима использования территории объекта культурного наследия федерального значения "Курганная группа "Победа–4" (3 насыпи)", эпоха бронзы – позднее средневековье, Краснодарский край, Кореновский район, ст–ца Раздольная, 5,23 км от северо–западного угла станицы"
"Об утверждении границ и режима использования территории объекта культурного наследия федерального значения "Курганная группа "Победа–4" (3 насыпи)", эпоха бронзы – позднее средневековье, Краснодарский край, Кореновский район, ст–ца Раздольная, 5,23 км от северо–западного угла станицы"
Номер опубликования: 2301202408150018
Дата опубликования:
15.08.2024
