Приказ администрации Краснодарского края от 24.06.2024 № 643-КН
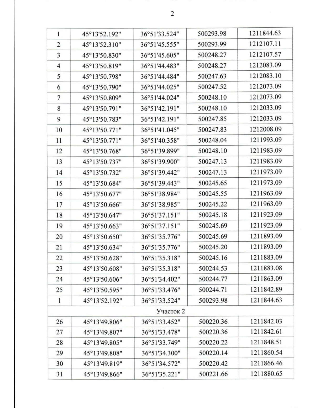
"Об утверждении границ и режима использования территории выявленного объекта культурного наследия "Поселение "17/18 км", Краснодарский край, Темрюкский район, в 4,8 км к юго-западу от пересечения ул. 50 лет Октября и ул. 255 Таманской дивизии (азимут 231,2°) пос. Приморский, в 11,2 км к востоку-юго-востоку от пересечения ул. Карла Маркса и ул. Пушкина (азимут 81,3°) пос. Тамань"
"Об утверждении границ и режима использования территории выявленного объекта культурного наследия "Поселение "17/18 км", Краснодарский край, Темрюкский район, в 4,8 км к юго-западу от пересечения ул. 50 лет Октября и ул. 255 Таманской дивизии (азимут 231,2°) пос. Приморский, в 11,2 км к востоку-юго-востоку от пересечения ул. Карла Маркса и ул. Пушкина (азимут 81,3°) пос. Тамань"
Номер опубликования: 2301202407020001
Дата опубликования:
02.07.2024
