Официальное опубликование правовых актов
ОФИЦИАЛЬНОЕ ОПУБЛИКОВАНИЕ
Приказ администрации Краснодарского края от 09.02.2024 № 97-КН
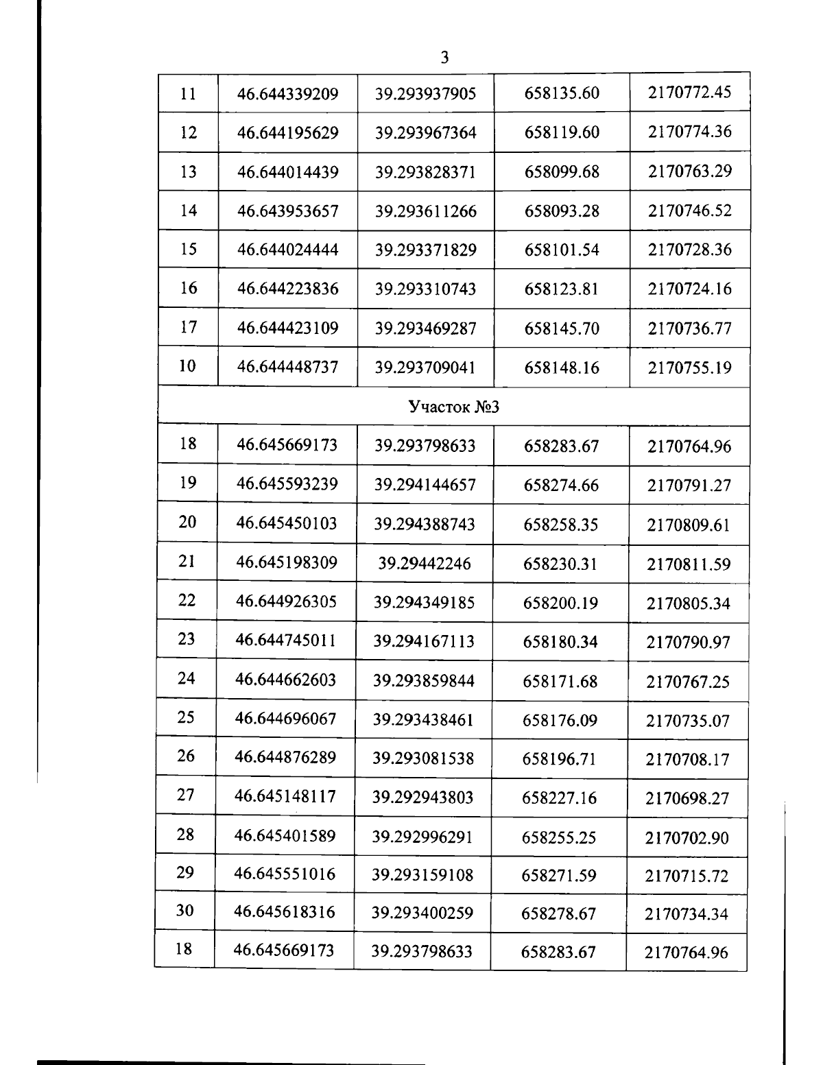
"Об утверждении границ и режима использования территории объекта культурного наследия федерального значения "Курганная группа "Ейский 1" (5 насыпей)", эпоха бронзы - эпоха железа, Краснодарский край, Кущевский район, ст-ца Шкуринская, 5 км к северо-северо-западу от северной окраины станицы"
Номер опубликования: 2301202402160019
Дата опубликования: 16.02.2024
Страница №5 из 8:
Увеличить