Официальное опубликование правовых актов
ОФИЦИАЛЬНОЕ ОПУБЛИКОВАНИЕ
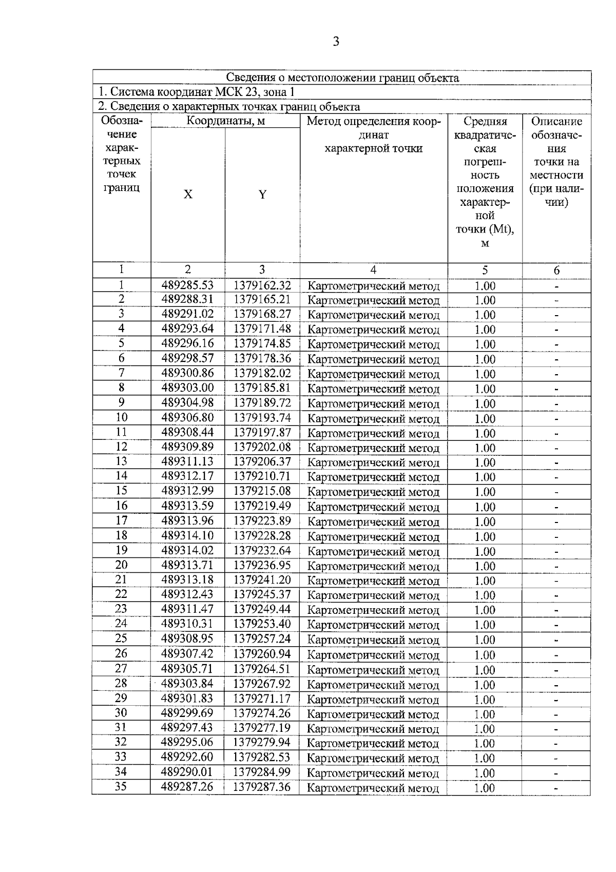
Приказ министерства природных ресурсов Краснодарского края от 16.01.2024 № 29
"Об установлении зон санитарной охраны источника питьевого и хозяйственно-бытового водоснабжения общества с ограниченной ответственностью "Краснодар Водоканал" в муниципальном образовании город Краснодар"
Номер опубликования: 2301202401230004
Дата опубликования: 23.01.2024
Страница №5 из 10:
Увеличить