Официальное опубликование правовых актов
ОФИЦИАЛЬНОЕ ОПУБЛИКОВАНИЕ
Приказ администрации Краснодарского края от 20.12.2023 № 1393-КН
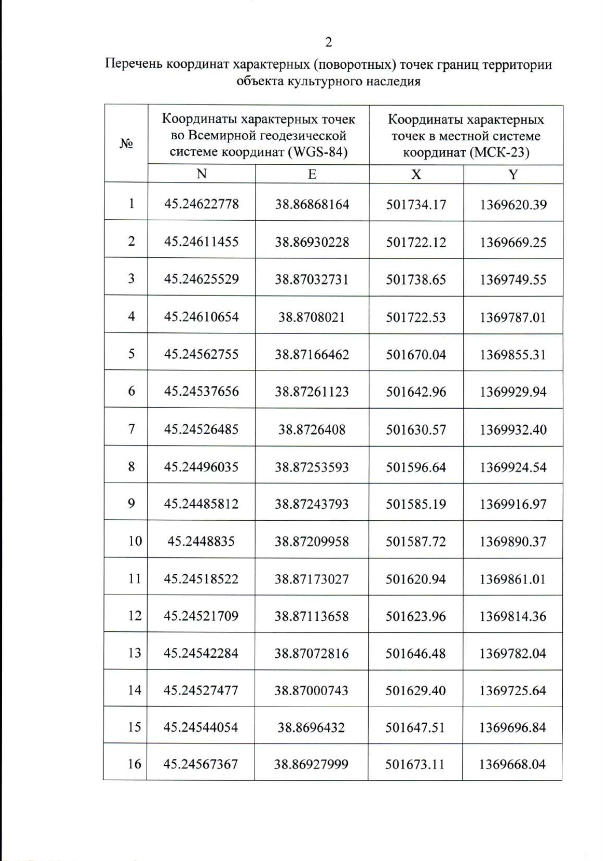
"Об утверждении границ и режима использования территории объекта культурного наследия федерального значения "Курганная группа "Новотитаровская 7" (6 насыпей)", эпоха бронзы – позднее средневековье, Краснодарский край, Динской район, х. Осечки, 0,33 км к северу от северо–западного угла хутора"
Номер опубликования: 2301202312270006
Дата опубликования: 27.12.2023
Страница №4 из 6:
Увеличить