Официальное опубликование правовых актов
ОФИЦИАЛЬНОЕ ОПУБЛИКОВАНИЕ
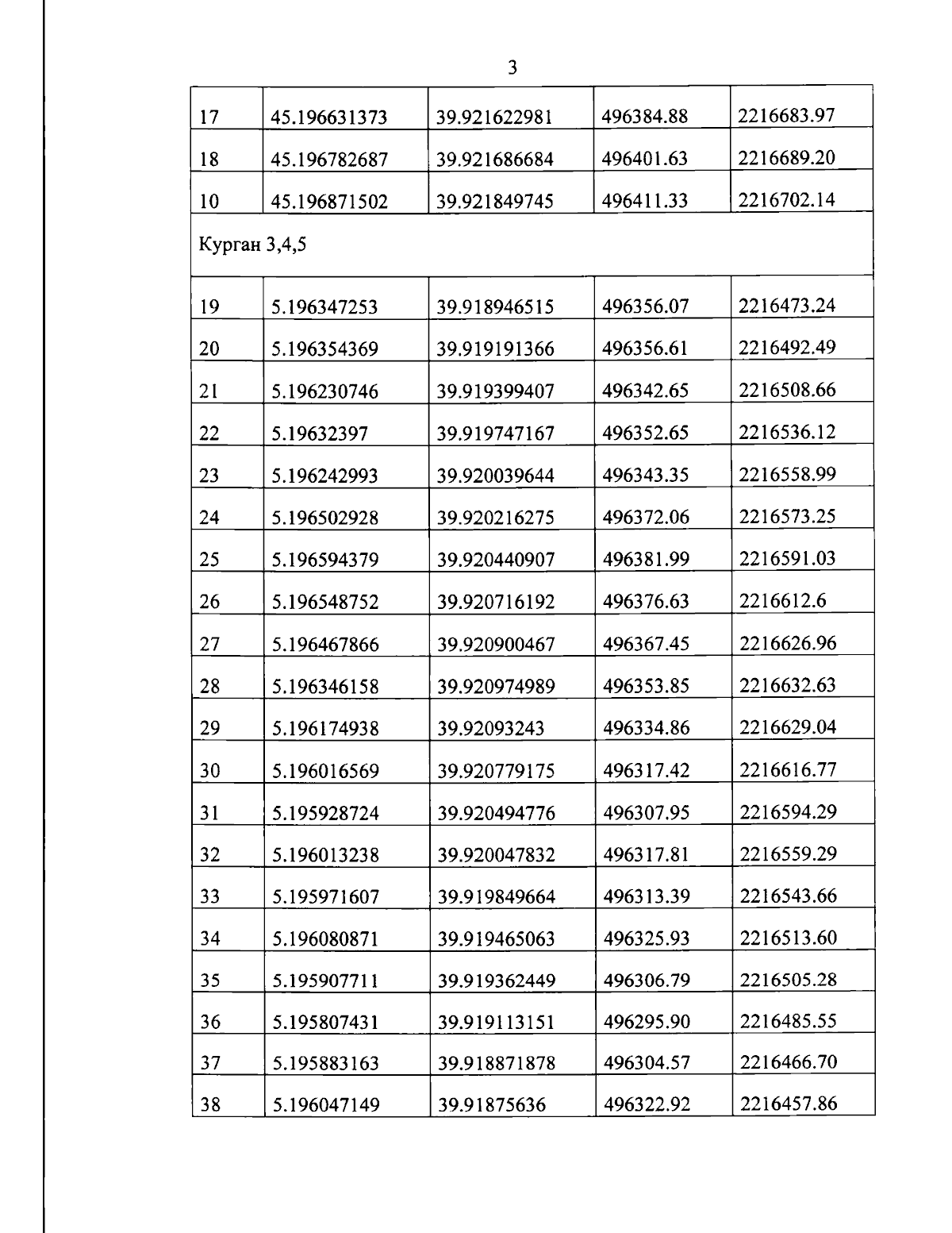
Приказ администрации Краснодарского края от 30.11.2023 № 1041-КН
"Об утверждении границ и режима использования территории объекта культурного наследия федерального значения "Курганная группа", эпоха бронзы – позднее средневековье, Краснодарский край, Усть-Лабинский район, ст-ца Новолабинская, 8,2 км к северо-востоку от станицы"
Номер опубликования: 2301202312070023
Дата опубликования: 07.12.2023
Страница №5 из 7:
Увеличить