Официальное опубликование правовых актов
ОФИЦИАЛЬНОЕ ОПУБЛИКОВАНИЕ
Приказ администрации Краснодарского края от 23.11.2023 № 919-КН
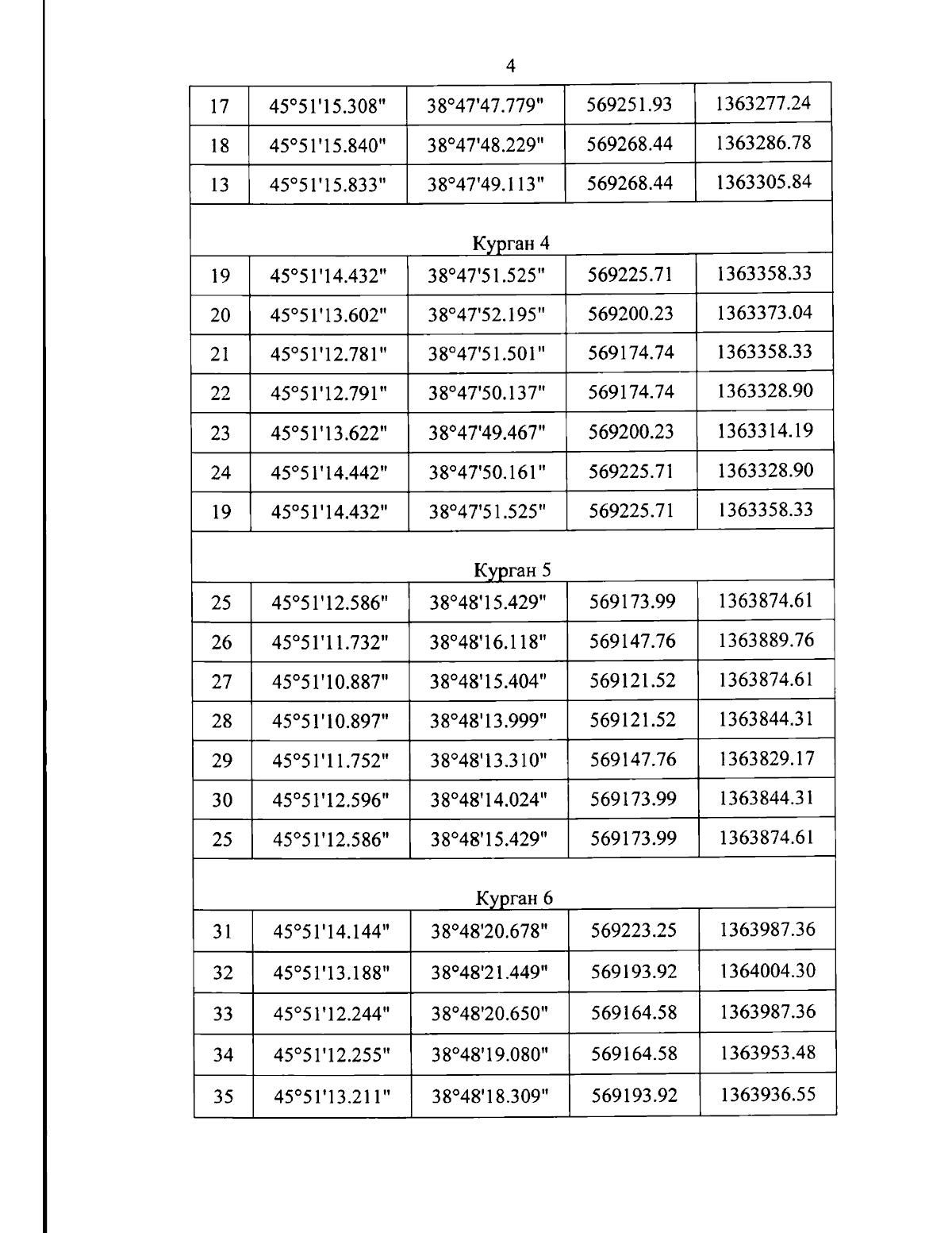
"Об утверждении границ и режима использования территории объекта культурного наследия федерального значения "Курганная группа (6 насыпей)", Краснодарский край, Брюховецкий район, х. Гарбузовая Балка, западная окраина хутора"
Номер опубликования: 2301202311300001
Дата опубликования: 30.11.2023
Страница №6 из 8:
Увеличить