Официальное опубликование правовых актов
ОФИЦИАЛЬНОЕ ОПУБЛИКОВАНИЕ
Приказ администрации Краснодарского края от 14.11.2023 № 876-КН
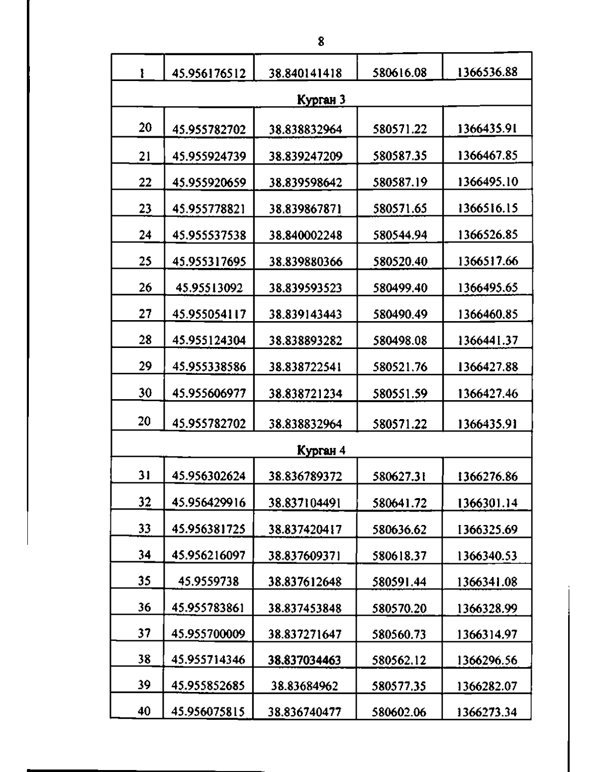
"Об утверждении границ и режима использования территории объекта культурного наследия федерального значения "Курганная группа "Соленая 2" (11 насыпей)", эпоха бронзы – средневековье, Краснодарский край, Брюховецкий район, ст-ца Чепигинская, 3 км к северо-западу от станицы"
Номер опубликования: 2301202311220003
Дата опубликования: 22.11.2023
Страница №10 из 15:
Увеличить