Официальное опубликование правовых актов
ОФИЦИАЛЬНОЕ ОПУБЛИКОВАНИЕ
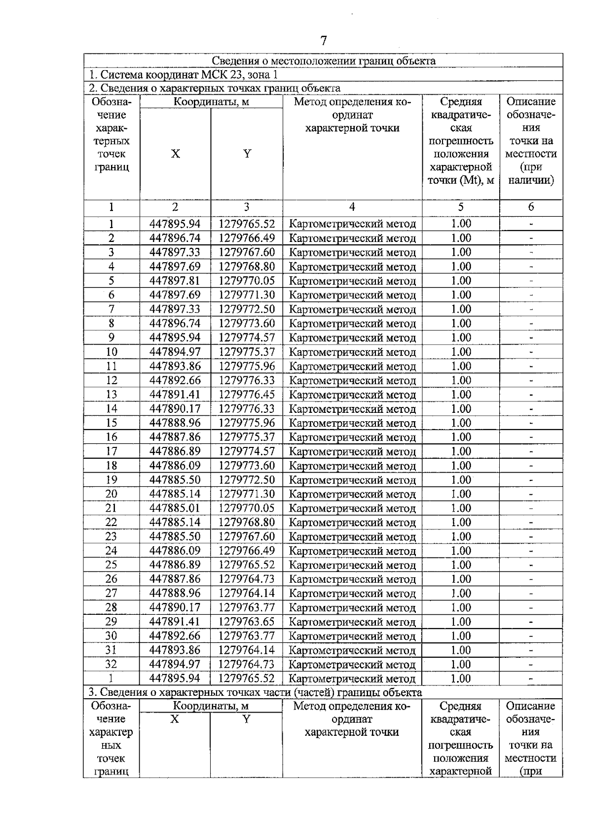
Приказ министерства природных ресурсов Краснодарского края от 25.09.2023 № 1306
"Об установлении зон санитарной охраны источников питьевого и хозяйственно-бытового водоснабжения акционерного общества "Черноморские магистральные нефтепроводы" в муниципальном образовании город-герой Новороссийск"
Номер опубликования: 2301202310020002
Дата опубликования: 02.10.2023
Страница №9 из 16:
Увеличить