Официальное опубликование правовых актов
ОФИЦИАЛЬНОЕ ОПУБЛИКОВАНИЕ
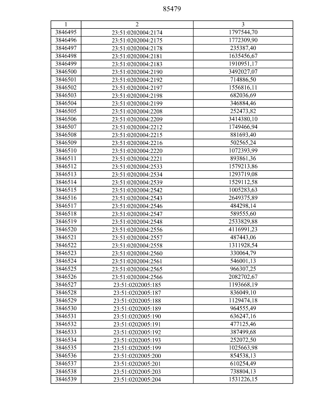
Приказ департамента имущественных отношений Краснодарского края от 19.09.2023 № 2260
"Об утверждении результатов определения кадастровой стоимости зданий, помещений, сооружений, объектов незавершенного строительства, машино-мест на территории Краснодарского края"
Номер опубликования: 2301202309280002
Дата опубликования: 28.09.2023
Страница №85481 из 85714:
Увеличить