Официальное опубликование правовых актов
ОФИЦИАЛЬНОЕ ОПУБЛИКОВАНИЕ
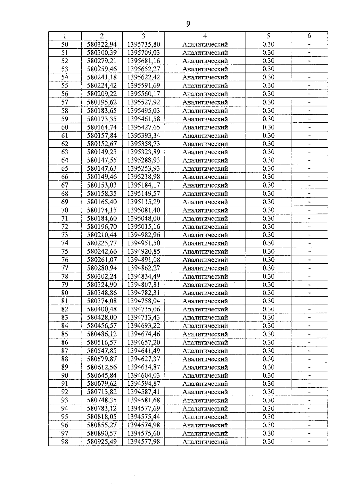
Приказ министерства природных ресурсов Краснодарского края от 06.09.2023 № 1213
"Об установлении зон санитарной охраны источников питьевого и хозяйственно-бытового водоснабжения акционерного общества "Родина" в муниципальном образовании Каневской район"
Номер опубликования: 2301202309120010
Дата опубликования: 12.09.2023
Страница №11 из 14:
Увеличить