Официальное опубликование правовых актов
ОФИЦИАЛЬНОЕ ОПУБЛИКОВАНИЕ
Приказ министерства природных ресурсов Краснодарского края от 22.08.2023 № 1128
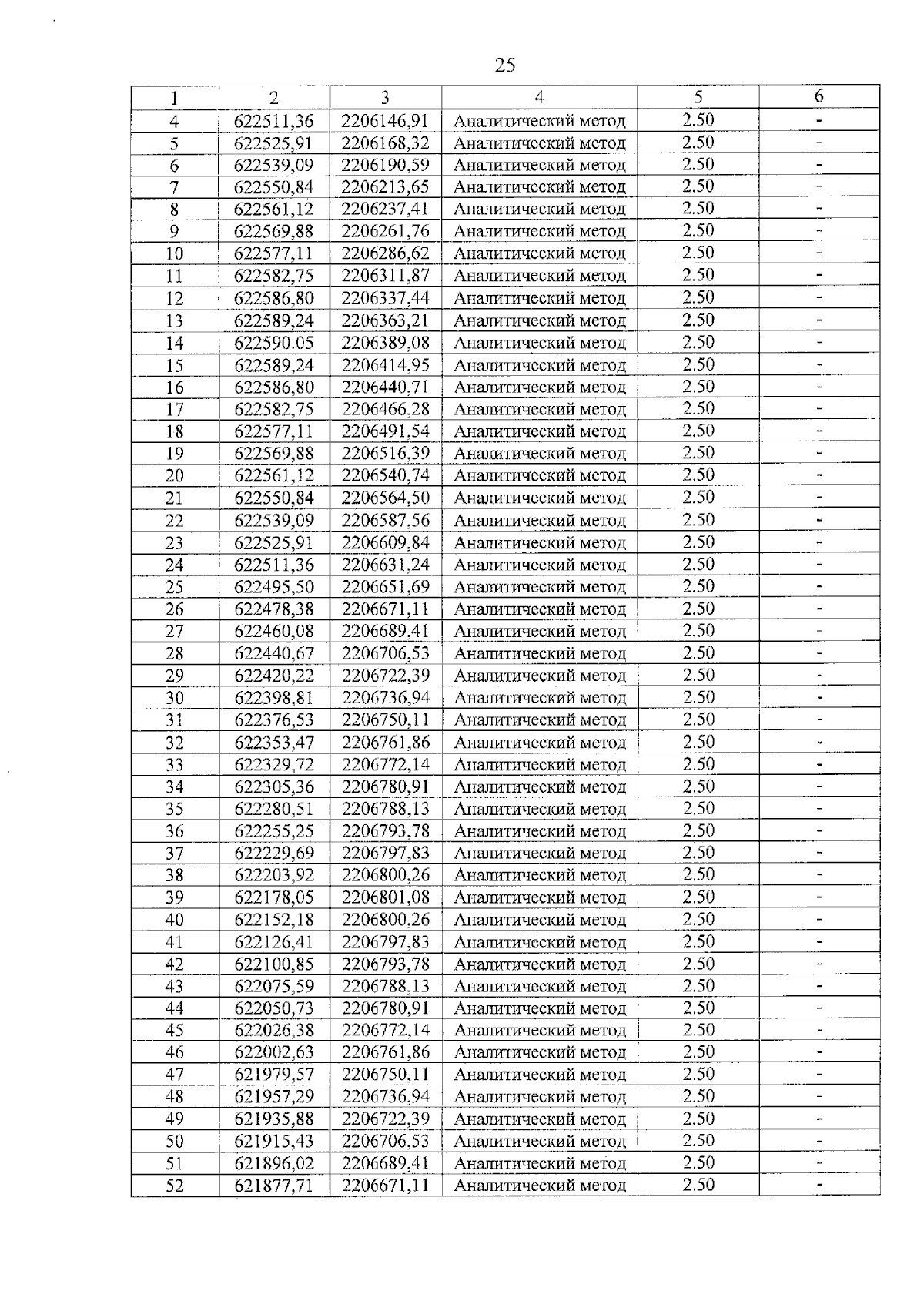
"О внесении изменений в приказ министерства природных ресурсов Краснодарского края от 1 июня 2023 г. № 700 "Об установлении зон санитарной охраны источников питьевого и хозяйственно-бытового водоснабжения общества с ограниченной ответственностью "Воронежский шампиньон" в муниципальном образовании Крыловской район"
Номер опубликования: 2301202308290001
Дата опубликования: 29.08.2023
Страница №27 из 32:
Увеличить