Официальное опубликование правовых актов
ОФИЦИАЛЬНОЕ ОПУБЛИКОВАНИЕ
Приказ министерства сельского хозяйства и перерабатывающей промышленности Краснодарского края от 18.08.2023 № 469
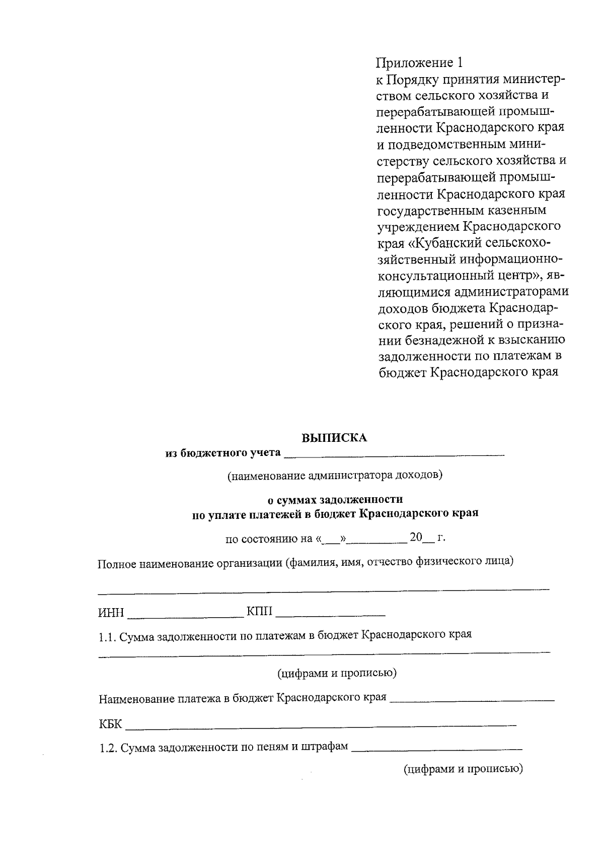
"Об утверждении Порядка принятия министерством сельского хозяйства и перерабатывающей промышленности Краснодарского края и подведомственным министерству сельского хозяйства и перерабатывающей промышленности Краснодарского края государственным казенным учреждением Краснодарского края "Кубанский сельскохозяйственный информационно-консультационный центр", являющимися администраторами доходов бюджета Краснодарского края, решений о признании безнадежной к взысканию задолженности по платежам в бюджет Краснодарского края"
Номер опубликования: 2301202308250009
Дата опубликования: 25.08.2023
Страница №10 из 18:
Увеличить