Официальное опубликование правовых актов
ОФИЦИАЛЬНОЕ ОПУБЛИКОВАНИЕ
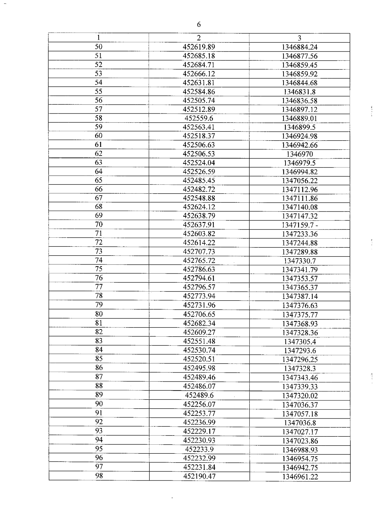
Приказ министерства природных ресурсов Краснодарского края от 17.08.2023 № 1122
"Об установлении границ лесопаркового зеленого пояса Ильского городского поселения муниципального образования Северский район"
Номер опубликования: 2301202308240003
Дата опубликования: 24.08.2023
Страница №7 из 8:
Увеличить