Официальное опубликование правовых актов
ОФИЦИАЛЬНОЕ ОПУБЛИКОВАНИЕ
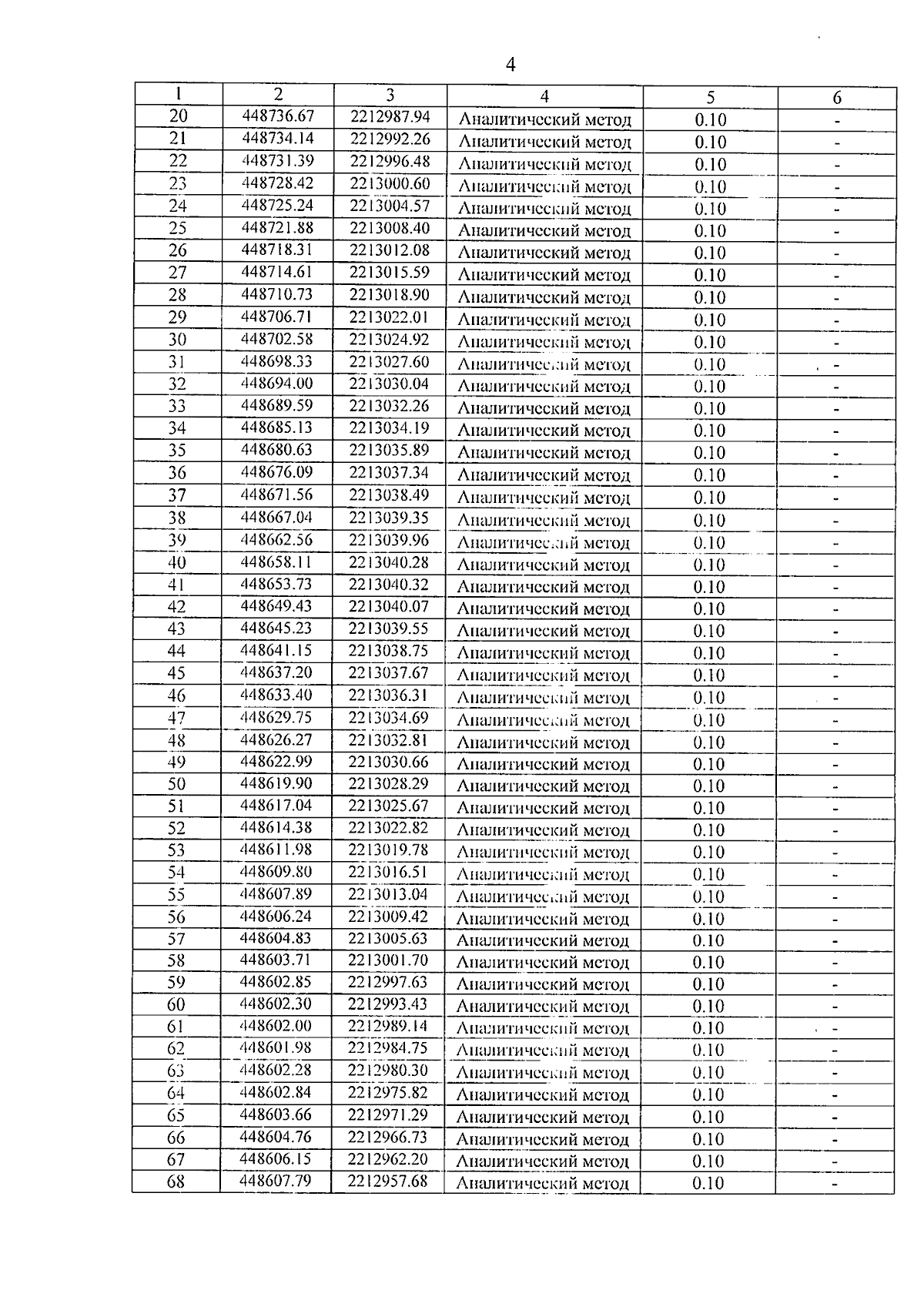
Приказ министерства природных ресурсов Краснодарского края от 11.08.2023 № 1061
"Об установлении и изменении зон санитарной охраны источников питьевого и хозяйственно-бытового водоснабжения общества с ограниченной ответственностью "ЮЖНАЯ СОКОВАЯ КОМПАНИЯ" в муниципальном образовании Белореченский район"
Номер опубликования: 2301202308180004
Дата опубликования: 18.08.2023
Страница №6 из 13:
Увеличить