Приказ администрации Краснодарского края от 07.07.2023 № 487-КН
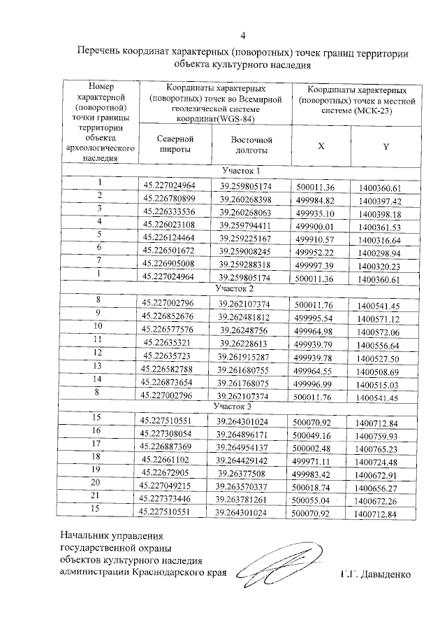
"Об утверждении границ и режима использования территории объекта культурного наследия федерального значения "Курганная группа "Динская 22" (3 насыпи)", эпоха бронзы – позднее средневековье, Краснодарский край, Динской район, ст-ца Динская, 1,8 км к северо-северо-востоку от восточной окраины станицы"
"Об утверждении границ и режима использования территории объекта культурного наследия федерального значения "Курганная группа "Динская 22" (3 насыпи)", эпоха бронзы – позднее средневековье, Краснодарский край, Динской район, ст-ца Динская, 1,8 км к северо-северо-востоку от восточной окраины станицы"
Номер опубликования: 2301202307140008
Дата опубликования:
14.07.2023
