Официальное опубликование правовых актов
ОФИЦИАЛЬНОЕ ОПУБЛИКОВАНИЕ
Приказ администрации Краснодарского края от 07.07.2023 № 494-КН
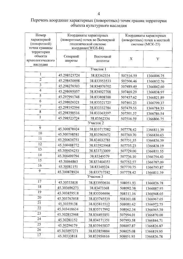
"Об утверждении границ и режима использования территории объекта культурного наследия федерального значения "Курганная группа "Нововеличковская 16" (6 насыпей)", эпоха бронзы – позднее средневековье, Краснодарский край, Динской район, ст-ца Нововеличковская, садоводческая бригада колхоза им. Крупской, 0,775 км к северо-северо-западу от северо-восточной окраины станицы"
Номер опубликования: 2301202307140004
Дата опубликования: 14.07.2023
Страница №6 из 8:
Увеличить