Официальное опубликование правовых актов
ОФИЦИАЛЬНОЕ ОПУБЛИКОВАНИЕ
Приказ администрации Краснодарского края от 06.06.2023 № 418-КН
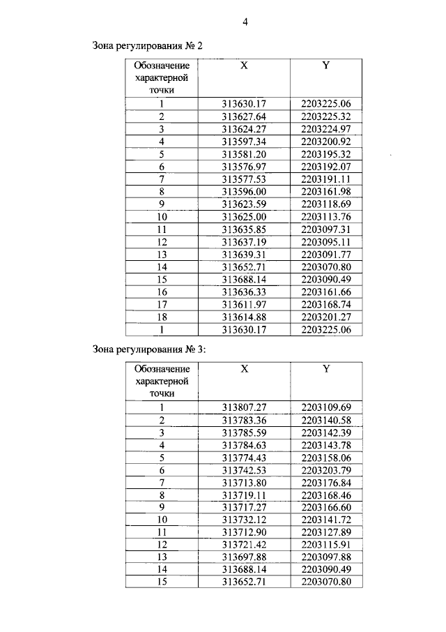
"О внесении изменений в приказ управления государственной охраны объектов культурного наследия Краснодарского края от 11 ноября 2013 г. № 156 "Об утверждении границ зон охраны, режимов использования земель и градостроительных регламентов объекта культурного наследия федерального значения "Санаторий "Горный воздух" (корпус №8 санатория "Заря"), 1928-1931 гг., арх. Веснин Л.А., 1936 г., арх. Веснин А.А.", расположенного по адресу: Краснодарский край, г. Сочи, ул. Есауленко, 1/1"
Номер опубликования: 2301202306130001
Дата опубликования: 13.06.2023
Страница №4 из 5:
Увеличить