Официальное опубликование правовых актов
ОФИЦИАЛЬНОЕ ОПУБЛИКОВАНИЕ
Приказ администрации Краснодарского края от 02.06.2023 № 405-КН
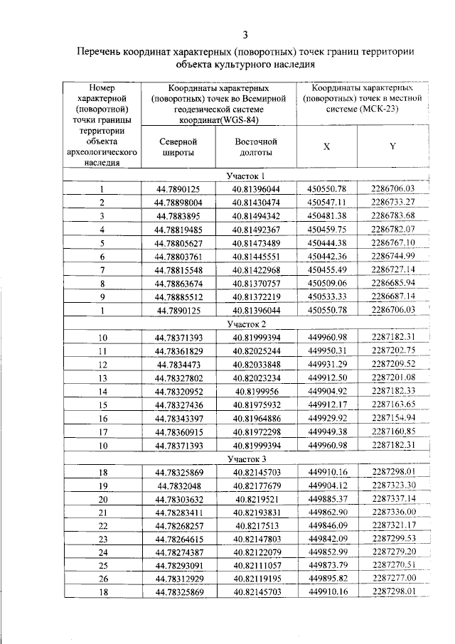
"Об утверждении границ и режима использования территории выявленного объекта культурного наследия "Курганная группа (5 насыпей)", Краснодарский край, Курганинский район, ст-ца Константиновская, 7-8 км к юго-востоку от юго-восточного угла станицы (на протяжении 1 км)"
Номер опубликования: 2301202306090009
Дата опубликования: 09.06.2023
Страница №5 из 7:
Увеличить