Официальное опубликование правовых актов
ОФИЦИАЛЬНОЕ ОПУБЛИКОВАНИЕ
Приказ администрации Краснодарского края от 02.06.2023 № 407-КН
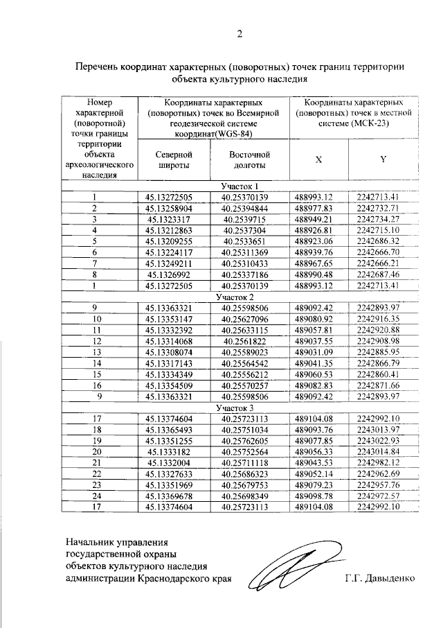
"О включении объекта археологического наследия "Курганный могильник "Темиргоевская 31", Краснодарский край, Курганинский район, ст-ца Темиргоевская, 745 м к северо-западу от северо-западного угла станицы, в перечень выявленных объектов культурного наследия Краснодарского края, утверждении его границ и режима использования территории"
Номер опубликования: 2301202306090007
Дата опубликования: 09.06.2023
Страница №4 из 5:
Увеличить