Официальное опубликование правовых актов
ОФИЦИАЛЬНОЕ ОПУБЛИКОВАНИЕ
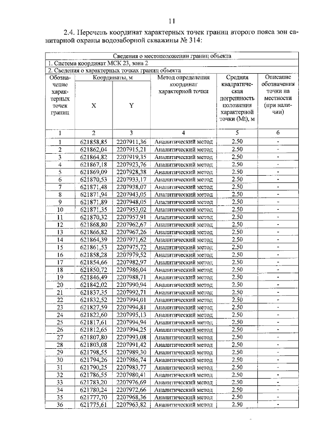
Приказ министерства природных ресурсов Краснодарского края от 01.06.2023 № 700
"Об установлении зон санитарной охраны источников питьевого и хозяйственно-бытового водоснабжения общества с ограниченной ответственностью "Воронежский шампиньон" в муниципальном образовании Крыловской район"
Номер опубликования: 2301202306080011
Дата опубликования: 08.06.2023
Страница №13 из 30:
Увеличить