Официальное опубликование правовых актов
ОФИЦИАЛЬНОЕ ОПУБЛИКОВАНИЕ
Приказ администрации Краснодарского края от 01.06.2023 № 396-КН
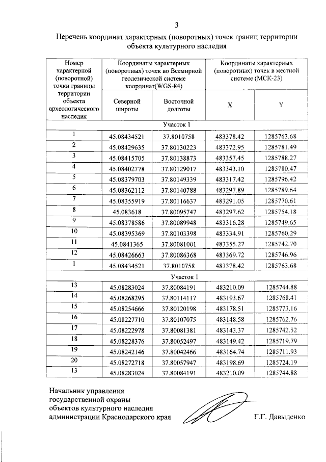
"Об утверждении границ и режима использования территории объекта культурного наследия федерального значения "Курганная группа "Кеслерово-5" (3 насыпи)", Краснодарский край, Крымский район, с. Кеслерово, восточная окраина села"
Номер опубликования: 2301202306080010
Дата опубликования: 08.06.2023
Страница №5 из 6:
Увеличить