Официальное опубликование правовых актов
ОФИЦИАЛЬНОЕ ОПУБЛИКОВАНИЕ
Приказ администрации Краснодарского края от 30.05.2023 № 343-КН
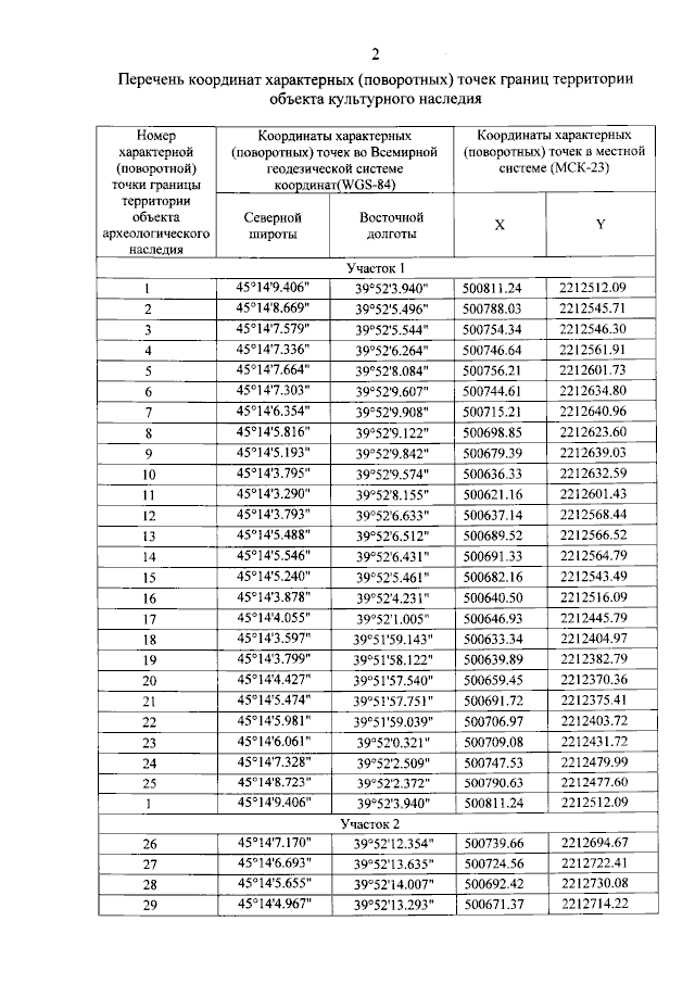
"Об утверждении границ и режима использования территории объекта культурного наследия федерального значения "Курганная группа", эпоха бронзы - средневековье, Краснодарский край, Усть-Лабинский район, х. Болгов, 0,75 км к юго-западу от хутора"
Номер опубликования: 2301202306060003
Дата опубликования: 06.06.2023
Страница №4 из 6:
Увеличить