Официальное опубликование правовых актов
ОФИЦИАЛЬНОЕ ОПУБЛИКОВАНИЕ
Приказ администрации Краснодарского края от 29.05.2023 № 334-КН
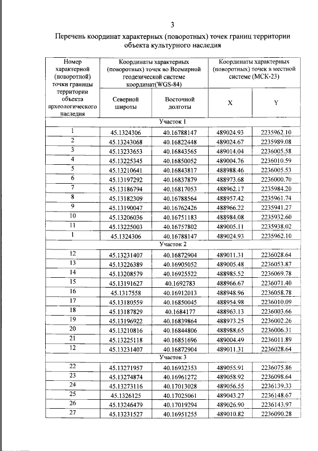
"Об утверждении границ и режима использования территории объекта культурного наследия федерального значения "Курганная группа "Садовая 1" (6 насыпей)", третье тысячелетие до н.э. - XIV в. н.э., Краснодарский край, Курганинский район, ст-ца Воздвиженская, 0,55 км к северо-востоку от северо-восточной окраины станицы, правый берег р. Лабы"
Номер опубликования: 2301202306050008
Дата опубликования: 05.06.2023
Страница №5 из 7:
Увеличить