Официальное опубликование правовых актов
ОФИЦИАЛЬНОЕ ОПУБЛИКОВАНИЕ
Приказ администрации Краснодарского края от 19.04.2023 № 219-КН
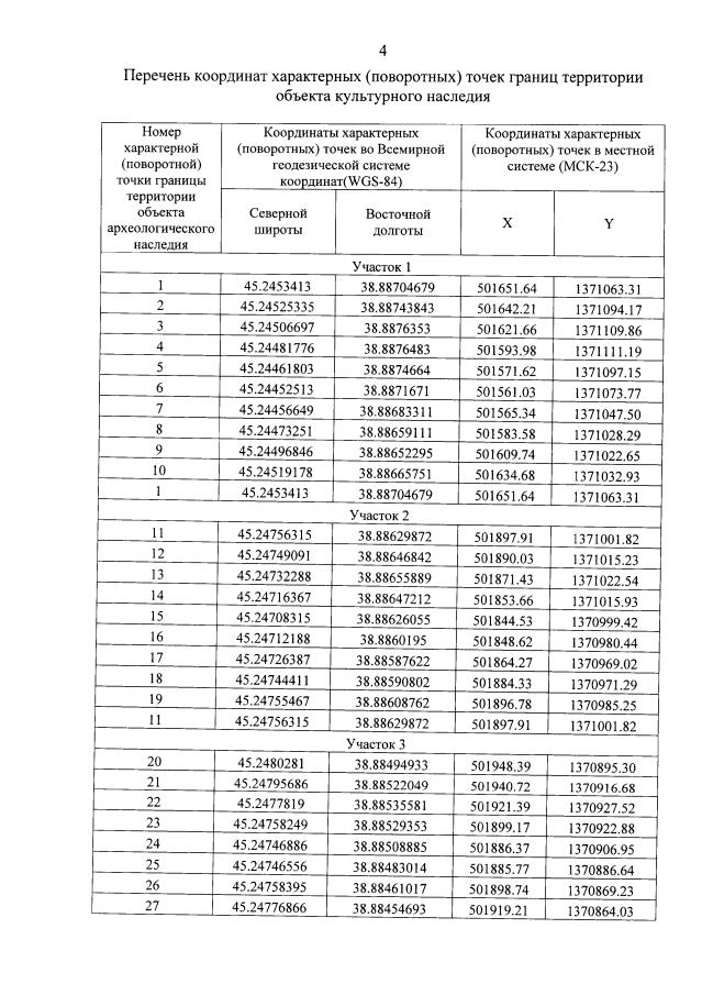
"Об утверждении границ и режима использования территории объекта культурного наследия федерального значения "Курганная группа "Нововеличковская 34" (5 насыпей)", эпоха бронзы – позднее средневековье, Краснодарский край, Динской район, ст-ца Нововеличковская, 2,4 км к юго-востоку от юго-восточного угла станицы"
Номер опубликования: 2301202304260013
Дата опубликования: 26.04.2023
Страница №6 из 8:
Увеличить