Официальное опубликование правовых актов
ОФИЦИАЛЬНОЕ ОПУБЛИКОВАНИЕ
Приказ администрации Краснодарского края от 19.04.2023 № 217-КН
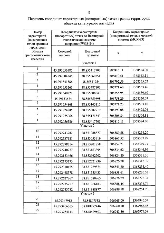
"Об утверждении границ и режима использования территории объекта культурного наследия федерального значения "Курганная группа "Нововеличковская 13" (6 насыпей)", эпоха бронзы – позднее средневековье, Краснодарский край, Динской район, ст-ца Нововеличковская, 0,18 км к северу от северо-восточной окраины станицы"
Номер опубликования: 2301202304260004
Дата опубликования: 26.04.2023
Страница №7 из 9:
Увеличить