Официальное опубликование правовых актов
ОФИЦИАЛЬНОЕ ОПУБЛИКОВАНИЕ
Приказ администрации Краснодарского края от 19.04.2023 № 215-КН
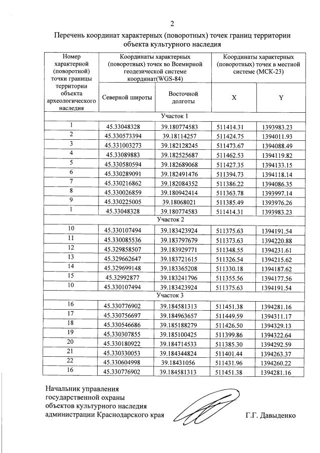
"Об утверждении границ и режима использования территории объекта культурного наследия федерального значения "Курганная группа "Красносельская 24" (4 насыпи)", эпоха бронзы – позднее средневековье, Краснодарский край, Динской район, с. Красносельское, 2,225 км к северо-востоку от северной окраины села"
Номер опубликования: 2301202304260001
Дата опубликования: 26.04.2023
Страница №4 из 5:
Увеличить