Официальное опубликование правовых актов
ОФИЦИАЛЬНОЕ ОПУБЛИКОВАНИЕ
Приказ администрации Краснодарского края от 17.04.2023 № 203-КН
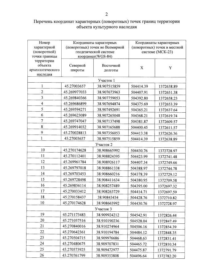
"Об утверждении границ и режима использования территории объекта культурного наследия федерального значения "Курганная группа "Нововеличковская 11" (3 насыпи)", эпоха бронзы – позднее средневековье, Краснодарский край, Динской район, ст-ца Нововеличковская, 3,825 км к востоко-юго-востоку от восточной окраины станицы"
Номер опубликования: 2301202304240018
Дата опубликования: 24.04.2023
Страница №4 из 6:
Увеличить