Официальное опубликование правовых актов
ОФИЦИАЛЬНОЕ ОПУБЛИКОВАНИЕ
Приказ администрации Краснодарского края от 17.04.2023 № 198-КН
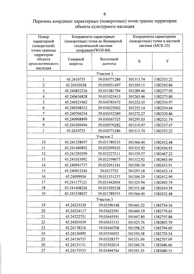
"Об утверждении границ и режима использования территории объекта культурного наследия федерального значения "Курганная группа (9 насыпей)", Краснодарский край, Динской район, Новотитаровский сельский округ (х. Белевцы), колхоз им. XXII съезда КПСС, бригада 1"
Номер опубликования: 2301202304240012
Дата опубликования: 24.04.2023
Страница №8 из 11:
Увеличить