Официальное опубликование правовых актов
ОФИЦИАЛЬНОЕ ОПУБЛИКОВАНИЕ
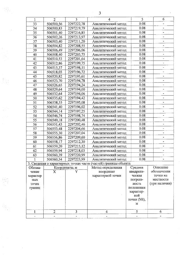
Приказ министерства природных ресурсов Краснодарского края от 17.02.2023 № 180
"Об установлении зон санитарной охраны источника питьевого и хозяйственно-бытового водоснабжения муниципального предприятия "Водоканал" в муниципальном образовании Гулькевичский район"
Номер опубликования: 2301202302220006
Дата опубликования: 22.02.2023
Страница №5 из 16:
Увеличить